Bundesinstitut
für Arzneimittel und Medizinprodukte
Bekanntmachung
einer Mitteilung
zum Homöopathischen Arzneibuch
(Empfehlungen der Fachausschüsse der
Deutschen Homöopathischen Arzneibuch-Kommission)
Auf Grund des § 7 Absatz 5 der Geschäftsordnung für die Deutsche Homöopathische Arzneibuch-Kommission und deren Gremien (Bekanntmachung vom 17. Juli 2009, BfArM-Internetseite) sind Empfehlungen der Fachausschüsse der Deutschen Homöopathischen Arzneibuch-Kommission den betroffenen Fach- und Wirtschaftskreisen zur Kenntnis zu bringen.
Der Fachausschuss Analytik der Deutschen Homöopathischen Arzneibuch-Kommission hat die unten genannten Entwürfe für die Allgemeine Monographie, neue Monographien, revidierte Monographien und eine revidierte Reagenzienbeschreibung für die Aufnahme in das Homöopathische Arzneibuch empfohlen. Sie werden hiermit zur Kenntnis gebracht (Anlage).
Weiterhin werden in Stoffmonographien pflanzlichen Ursprungs von nun an die wissenschaftlichen Bezeichnungen der pflanzlichen Ausgangsstoffe der aktuellen Vorgehensweise des Europäischen Arzneibuchs folgend an die im Internet veröffentlichte Datenbank „Medicinal Plant Names Services“ von Kew (https://mpns.science.kew.org/mpns-portal/searchName) angepasst. Für die unten aufgeführten Entwürfe ist dies bereits in den Monographie-Titeln und in der Definition des Ausgangsmaterials berücksichtigt worden.
Die bisherige wissenschaftliche Bezeichnung wird als Untertitel beibehalten.
Allgemeine Monographie
Ergänzende Regeln zur Allgemeinen Monographie „Urtinkturen für homöopathische Zubereitungen“ des Europäischen Arzneibuchs zu Euphrasia officinalis L. und Euphrasia stricta J.P.Wolff ex J.F.Lehm. (V. 21)
Neue Monographien
- 1.
-
Araneus diadematus (Aranea diadema)
- 2.
-
Ferrum iodatum (Ferrum jodatum)
- 3.
-
Natrium bromatum
- 4.
-
Palladium metallicum
- 5.
-
Terebinthinae aetherolum rectificatum (Oleum terebinthinae rectificatum)
Revidierte Monographien
- 1.
-
Aethusa cynapium (Aethusa)
- 2.
-
Baptisia tinctoria (Baptisia)
- 3.
-
Betonica officinalis (Stachys officinalis, Betonica)
- 4.
-
Cadmium sulfuricum
- 5.
-
Clematis recta (Clematis)
- 6.
-
Conium maculatum (Conium)
- 7.
-
Corallium rubrum
- 8.
-
Dioscorea villosa
- 9.
-
Drimia maritima (Urginea maritima, Scilla)
- 10.
-
Luffa operculata
- 11.
-
Nerium oleander (Oleander)
- 12.
-
Pulsatilla pratensis (Pulsatilla)
- 13.
-
Pulsatilla vulgaris (Anemone pulsatilla)
- 14.
-
Ranunculus bulbosus
- 15.
-
Thuja occidentalis (Thuja)
Revidierte Reagenzienbeschreibung
Oleandrin RH
Stellungnahmen zu dem oben genannten Entwurf des Homöopathischen Arzneibuches sind bis spätestens 7. Dezember 2022 einschließlich an die Geschäftsstelle der Arzneibuch-Kommissionen im Bundesinstitut für Arzneimittel und Medizinprodukte, Kurt-Georg-Kiesinger-Allee 3, 53175 Bonn, zu richten.
Bonn, den 29. August 2022
43.07-2022-
Bundesinstitut
für Arzneimittel und Medizinprodukte
In Vertretung
Knöß
Allgemeine Monographie
Ergänzende Regeln zur Allgemeinen Monographie „Urtinkturen für homöopathische Zubereitungen“ des Europäischen Arzneibuchs
Die Allgemeine Monographie „Ergänzende Regeln zur Allgemeinen Monographie „Urtinkturen für homöopathische Zubereitungen“ des Europäischen Arzneibuchs“ wird durch Hinzufügung der folgenden Pflanze und des jeweils zugehörigen Höchstwertes für den Methanolgehalt revidiert:
| Stammpflanze | Herstellungsvorschrift nach HAB |
Verarbeitete Pflanzenteile | Methanolgehalt Höchstwert Prozent (V/V) |
|---|---|---|---|
| Euphrasia officinalis L. und Euphrasia stricta J.P.Wolff ex J.F.Lehm. |
V. 21 | Frische ganze Pflanze zur Blütezeit |
0,10 |
Neue Monographien
Araneus diadematus
Aranea diadema
Verwendet werden die lebenden Gartenkreuzspinnen von Araneus diadematus CLERCK.
Beschreibung
Die Tiere sind von der Grundfärbung meistens hellbraun; die Farbe kann jedoch je nach der Umgebung stark variieren.
Die Kreuzspinne hat ihren Namen von den weißen Flecken, welche auf dem heller oder dunkler braunen Untergrund der feisten und glänzenden Vorderhälfte des Hinterleibs sich in Form eines Kreuzes angeordnet finden.
Es handelt sich hier um Guanin, das aus der Mitteldarmdrüse – also von der Verdauung – stammt und als kristallines Exkret unter der hier durchsichtigen Chitinhaut abgelagert wird. Die Tiere besitzen dorsal weitere kleine Flecken und Punkte von fast weißer Farbe, die ein dreieckiges Feld umgrenzen.
Der Vorderkörper ist beim adulten Weibchen 5 bis 6,6 mm, der Hinterleib 8 bis 10,5 mm lang; beim adulten Männchen ist der Vorderkörper 2,5 bis 4,5 mm, der Hinterleib 3 bis 6,5 mm lang.
Die Männchen sind bedeutend kleiner, da diese nach Verlassen des Kokons 6 bis 7 Häutungen, Weibchen hingegen 8 Häutungen durchmachen. Das Abdomen des Männchens ist schmäler.
Ausgebreitet überspannen die kräftigen, stark behaarten Beine einen Raum von etwa 5 bis 6 cm. Von den 8 Augen sind die 4 mittleren in Form eines Quadrats, die 4 äußeren zu je zweien in einiger Entfernung schräg seitwärts angeordnet.
Die Augenanordnung ist folgende

Arzneiformen
Herstellung
1 Teil lebende Tiere werden in einem geeigneten Gefäß durch Einleiten von Kohlendioxid betäubt. Anschließend werden die Tiere in eine tarierte Porzellanschale überführt und durch Zufügen einer ausreichenden Menge an Ethanol 94 % (m/m), jedoch nicht mehr als 5 Teilen getötet. Nach Zusatz der gleichen Menge einer Mischung von 83 Teilen Ethanol 94 % (m/m) und 17 Teilen Wasser werden die Tiere mit einem Mörser zerkleinert. Der Ansatz wird mit so vielen Teilen Ethanol 86 % (m/m) versetzt, dass sich in der Summe 10 Teile Arzneiträger ergeben. Größere Mengen können auch mit einem Mixer zerkleinert werden. Der Ansatz wird in ein verschließbares Gefäß überführt und anschließend mindestens 14 Tage lang bei mehrmaligem Umschütteln gelagert. Danach wird durch ein Filter klar filtriert.
Flüssige Verdünnungen werden nach Vorschrift 4b hergestellt, wobei für die 2. und 3. Dezimalverdünnung Ethanol 86 % (m/m) und für die 4. Dezimalverdünnung Ethanol 62 % (m/m) verwendet werden.
Eigenschaften
Die Urtinktur ist eine hellgelb bis bräunlich gelb gefärbte, klare Flüssigkeit mit süßlich herbem Geruch.
Prüfung auf Identität
Dünnschichtchromatographie (2.2.27)
Untersuchungslösung: Urtinktur
Referenzlösung: 10 mg Chininhydrochlorid R, 10 mg Salicylsäure R und 10 mg Menthol R werden in 10 ml Methanol R gelöst.
Platte: DC-Platte mit Kieselgel HF254 R (5 bis 40 µm) [oder DC-Platte mit Kieselgel HF254 R (2 bis 10 µm)]
Fließmittel: Wasser R, 1-Propanol R (30/70 V/V)
Auftragen: 50 μl [oder 15 μl] Untersuchungslösung und 10 μl [oder 5 μl] Referenzlösung; bandförmig 20 mm [oder 10 mm]
Laufstrecke: 10 cm [oder 7 cm]
Detektion: Nach dem Trocknen der Platte bei 105 °C für 5 Minuten wird zunächst im ultravioletten Licht bei 254 nm im Chromatogramm der Referenzlösung im mittleren Drittel die hellblau fluoreszierende Zone des Chininhydrochlorids und im oberen Drittel die fluoreszenzmindernde Zone der Salicylsäure markiert. Anschließend wird die Platte mit einer Lösung von Anisaldehyd-Reagenz R behandelt, 5 bis 10 min lang auf 100 bis 105 °C erhitzt und innerhalb von 10 min im Tageslicht ausgewertet.
Ergebnis: Die Zonenfolge in den Chromatogrammen von Referenzlösung und Untersuchungslösung ist aus den nachstehenden Angaben ersichtlich. Im Chromatogramm der Untersuchungslösung können weitere Zonen vorhanden sein.

Prüfung auf Reinheit
Relative Dichte (2.2.5): 0,830 bis 0,860
Trockenrückstand (H 2.2.6): mindestens 0,3 und höchstens 1,0 Prozent
Lagerung
Vor Licht geschützt.
Ferrum iodatum
Ferrum jodatum
Verwendet wird das auf Milchzucker aufgetrocknete Reaktionsprodukt aus Eisen und Iod, das mindestens 15,0 und höchstens 25,0 Prozent FeI2 (Mr = 309,7), berechnet auf die wasserfreie Substanz enthält.
Herstellung
3 Teile Ferrum metallicum (Ph. Eur.) werden mit 10 Teilen gereinigtem Wasser (Ph. Eur.) übergossen und nach und nach mit 10 Teilen Iod (Ph. Eur.) versetzt.
Die Mischung wird mindestens 1 h lang stehengelassen. Es wird vorsichtig zum Sieden erhitzt, wobei Iod-Dämpfe entweichen. Die Mischung ändert die Farbe von dunkelorange/schwarz nach graugrün. Da Ferrum metallicum im Überschuss eingesetzt wurde, muss dieses vor der weiteren Bearbeitung abgetrennt werden. Dies kann mittels Zentrifugation erfolgen. In der Lösung verbleibende Ferrum-metallicum-Reste werden über einen möglichst kleinen Filter abfiltriert, wobei das Filtrat direkt in eine mit 40 Teilen Lactose-Monohydrat (Ph. Eur.) bestückte Abdampfschale filtriert wird. Anschließend wird die Mischung unter vermindertem Druck mindestens 24 h lang bei Raumtemperatur getrocknet, bis eine feste trockene Masse vorliegt. Während des Trocknens wird die Masse mehrmals durchgemischt. Nach erfolgter Trocknung wird das Gemisch verrieben, wobei möglichst wenig Reibungswärme entstehen sollte.
Eigenschaften
Gelbes bis grüngelbes Pulver; leicht löslich in Wasser und verdünnter Salzsäure, schwer löslich in Ethanol.
Prüfung auf Identität
- A.
-
Die Substanz gibt die Identitätsreaktion a) auf Eisen (2.3.1).
- B.
-
Die Substanz gibt die Identitätsreaktion a) auf Iodid (2.3.1).
Prüfung auf Reinheit
Prüflösung: 0,1 g Substanz werden in Wasser R zu 10 ml gelöst.
Aussehen der Lösung: Die Lösung darf nicht stärker opaleszieren als die Referenzsuspension IV (2.2.1).
Eisen(III)-Ionen: Höchstens 0,5 Prozent
5,00 g Substanz werden in einem Erlenmeyerkolben mit Schliffstopfen in einer Mischung von 10 ml Salzsäure R und 100 ml kohlendioxidfreiem Wasser R gelöst. Nach Zusatz von 3 g Kaliumiodid R wird der Kolben verschlossen und 5 min lang im Dunkeln stehengelassen.
Das freigesetzte Iod wird mit Natriumthiosulfat-Lösung (0,05 mol l–1) unter Zusatz von 0,5 ml Stärke-Lösung R titriert.
Ein Blindversuch wird durchgeführt.
Vom Verbrauch an Natriumthiosulfat-Lösung (0,05 mol l−1) ist der Verbrauch der Titration bei „Prüfung auf Iod“ abzuziehen.
Bei der Titration dürfen unter Berücksichtigung des Blindversuchs und des Verbrauchs an Natriumthiosulfat-Lösung (0,05 mol l−1) bei der „Prüfung auf Iod“ höchstens 9,0 ml verbraucht werden.
Iod: Höchstens 0,5 Prozent
5,0 g Substanz werden in 100 ml Wasser R gelöst. Nach Zusatz von 1 ml Stärke-Lösung R wird mit Natriumthiosulfat-Lösung (0,05 mol l−1) bis zur Entfärbung der Lösung titriert.
Es dürfen nicht mehr als 4,0 ml Natriumthiosulfat-Lösung (0,05 mol l–1) verbraucht werden.
Wasser (2.5.12): Höchstens 10,0 Prozent, mit 0,300 g Substanz nach der Karl-Fischer-Methode bestimmt
Gehaltsbestimmung
0,200 g Substanz werden in 50 ml Wasser R gelöst und mit 5 ml verdünnter Salpetersäure R und 10,0 ml Silbernitrat-Lösung (0,1 mol l−1) versetzt. Nach kräftigem Umschütteln wird mit Ammoniumthiocyanat-Lösung (0,1 mol l−1) unter Zusatz von 2 ml Ammoniumeisen(III)-sulfat-Lösung R 2 bis zum stabilen Farbumschlag von hellgelb nach orange titriert.
1 ml Silbernitrat-Lösung (0,1 mol l−1) entspricht 15,48 mg FeI2.
Arzneiformen
Die 2. Dezimalverreibung muss mindestens 0,95 und darf höchstens 1,05 Prozent FeI2 enthalten.
Herstellung
Verreibungen nach Vorschrift 6 unter Berücksichtigung des tatsächlichen Gehaltes zur D2
Eigenschaften
Die 2. Dezimalverreibung ist ein hellgelbes bis gelbbraunes Pulver.
Prüfung auf Identität
Prüflösung: 2,0 g der 2. Dezimalverreibung werden mit 10 ml Wasser R versetzt, kräftig geschüttelt und filtriert.
- A.
-
Das Filtrat gibt die Reaktion a) auf Eisen (2.3.1).
- B.
-
Das Filtrat gibt die Reaktion a) auf Iodid (2.3.1).
Gehaltsbestimmung
Die Bestimmung erfolgt wie unter „Gehaltsbestimmung“ bei der Substanz angegeben mit 2,000 g der 2. Dezimalverreibung.
Lagerung
Ab der 4. Dezimalverreibung
Natrium bromatum
Die Substanz muss der Monographie Natriumbromid (Ph. Eur.) entsprechen.
Arzneiformen
Die Lösung D1 enthält mindestens 8,9 und höchstens 10,6 Prozent NaBr.
Herstellung
Lösung D1 nach Vorschrift 5a mit Ethanol 43 % (m/m)
Eigenschaften
Die Lösung D1 ist eine klare, farblose Flüssigkeit.
Prüfung auf Identität
- A.
-
Die Lösung D1 gibt die Identitätsreaktion a auf Bromid (2.3.1).
- B.
-
Die Lösung D1 gibt die Identitätsreaktionen auf Natrium (2.3.1).
Prüfung auf Reinheit
Aussehen der Lösung: Die Lösung D1 muss klar (2.2.1) und farblos (2.2.2, Methode II) sein.
Relative Dichte (2.2.5): 0,995 bis 1,015
Gehaltsbestimmung
850 mg der Lösung D1 werden mit 5 ml verdünnter Salpetersäure R versetzt, mit Wasser R zu 50 ml verdünnt und mit Silbernitrat-Lösung (0,1 mol · l−1) titriert.
Der Endpunkt wird mit Hilfe der Potentiometrie (2.2.20) bestimmt.
Die Korrektur um den Gehalt an Chlorid wird nicht vorgenommen.
1 ml Silbernitrat-Lösung (0,1 mol · l−1) entspricht 10,29 mg NaBr.
Lagerung
Dicht verschlossen
Palladium metallicum
| Pd | A r 106,4 |
Verwendet wird metallisches Palladium in gepulverter Form, das mindestens 96,0 und höchstens 101,5 Prozent Pd enthält.
Eigenschaften
Silberweißes bis gräuliches, feines Pulver; unlöslich in Wasser, löslich in konzentrierter Salpetersäure und heißer konzentrierter Schwefelsäure, wenig löslich in konzentrierter Salzsäure.
Prüfung auf Identität
Prüflösung: 0,25 g Substanz werden in 3 ml Salzsäure R und 1 ml Salpetersäure R unter leichtem Erwärmen gelöst.
- A.
-
Wird 1 ml Prüflösung mit 1 ml einer Lösung von 0,1 g Kaliumchlorid R in 1 ml Wasser R versetzt, entsteht ein braunroter Niederschlag.
- B.
-
Wird 1 ml Prüflösung mit 5 ml Wasser R und 1 ml Natriumsulfid-Lösung R versetzt, entsteht ein schwarzer Niederschlag.
- C.
-
Werden 2 ml Prüflösung erhitzt und anschließend mit 0,5 ml Kaliumiodid-Lösung R versetzt, entsteht ein schwarzer Niederschlag.
Gehaltsbestimmung
50,0 mg Substanz werden in einem 250 ml-Erlenmeyerkolben in 1,0 ml Salpetersäure R und 3,0 ml Salzsäure R unter leichtem Erwärmen gelöst. Die Lösung wird zur Trockne eingedampft und dreimal mit je 2 ml Salzsäure Rabgeraucht. Der Rückstand wird in 5 ml Salzsäure R aufgenommen und mit Wasser R auf etwa 150 ml verdünnt. Diese Lösung wird auf etwa 90 °C erhitzt und bei dieser Temperatur mit 40 ml einer Lösung von Dimethylglyoxim R (10 g · l−1) in Ethanol 96 % R versetzt. Die Mischung wird etwa 1 h lang bei dieser Temperatur belassen und nach dem Abkühlen durch einen Glasintertiegel (16) (2.1.2) filtriert. Der Niederschlag wird mit etwa 150 ml Salzsäure 1 % RN und anschließend mit 100 ml Ethanol 50 % R gewaschen. Der Rückstand wird im Trockenschrank bei 100 bis 105 °C bis zur Massekonstanz getrocknet.
1,0 g Rückstand entspricht 0,316 g Pd.
Arzneiformen
Die 1. Dezimalverreibung muss mindestens 9,1 und darf höchstens 10,7 Prozent Pd enthalten.
Herstellung
Verreibungen nach Vorschrift 6 aus der pulverisierten Substanz (90).
Eigenschaften
Die 1. Dezimalverreibung ist ein graues bis grauweißes Pulver.
Prüfung auf Identität
Prüflösung: 3 g der 1. Dezimalverreibung werden in 1 ml Salpetersäure R und 3 ml Salzsäure R gelöst.
- A.
-
Wird 1 ml Prüflösung mit 1 ml einer Lösung von 0,1 g Kaliumchlorid R in 1 ml Wasser R versetzt, entsteht ein braunroter Niederschlag.
- B.
-
Wird 1 ml Prüflösung mit 5 ml Wasser R und 1 ml Natriumsulfid-Lösung R versetzt, entsteht ein schwarzer Niederschlag.
- C.
-
Werden 2 ml Prüflösung erhitzt und anschließend mit 0,5 ml Kaliumiodid-Lösung R versetzt, entsteht ein schwarzer Niederschlag.
Gehaltsbestimmung
2,500 g der 1. Dezimalverreibung werden bis zur Gewichtskonstanz bei 600 °C verascht.
Der Gehalt wird wie folgt ermittelt:

Terebinthinae aetheroleum rectificatum
Oleum terebinthinae rectificatum
Der Ausgangsstoff muss der Monographie Terpentinöl (Ph. Eur.) entsprechen.
Arzneiformen
Herstellung
Lösung D1 nach Vorschrift 5a mit Ethanol 86 % (m/m).
Die 2. und 3. Dezimalverdünnung werden mit Ethanol 86 % (m/m), die 4. Dezimalverdünnung wird mit Ethanol 62 % (m/m), die folgenden Verdünnungen werden mit Ethanol 43 % (m/m) hergestellt.
Eigenschaften
Die Lösung D1 ist eine klare, farblose Flüssigkeit.
Prüfung auf Identität
Dünnschichtchromatographie (2.2.27)
Die Identitätsprüfung erfolgt wie in der Monographie Terpentinöl (Ph. Eur.) unter „Prüfung auf Identität A“ angegeben.
Untersuchungslösung: die Lösung D1
Ergebnis: Die Zonenfolge in den Chromatogrammen von Referenzlösung und Untersuchungslösung ist aus den nachstehenden Angaben ersichtlich.
Im Chromatogramm der Untersuchungslösung können weitere Zonen vorhanden sein.

Prüfung auf Reinheit
Relative Dichte (2.2.5): 0,825 bis 0,845
Lagerung
Vor Licht geschützt
Revidierte Monographien
Anmerkungen zur Monographie:
- –
-
Eigenschaften: Bei der Urtinktur wird der Geruch gestrichen, da die Angabe „charakteristisch“ zu unspezifisch ist und dieser nicht eindeutig beschrieben werden kann.
- –
-
Prüfung auf Identität A: Die unspezifische nasschemische Prüfung wird gestrichen.
- –
-
Prüfung auf Identität B: Bei der DC-Methode werden die HPTLC-Bedingungen ergänzt und die Beschreibung der Zonen im Text durch eine schematische Darstellung (DC-Kasten) ersetzt.
- –
-
Prüfung auf Reinheit: Die relative Dichte wird aufgrund der vorliegenden Chargendaten auf 0,9000–0,920 geändert.
- –
-
Prüfung auf Reinheit: Der Trockenrückstand wird aufgrund der vorliegenden Chargendaten auf 1,6–3,5 % geändert.
Aethusa cynapium
Aethusa
Verwendet werden die frischen ganzen Pflanzen mit unreifen Früchten von Aethusa cynapium L. zur Blütezeit.
Beschreibung
Die Pflanze entwickelt beim Zerreiben einen unangenehmen Geruch.
Aus einer dünnen, spindelförmigen, weißlichen Wurzel entspringt in der Regel nur ein 0,5 bis 2 m, meist etwa 0,6 m hoher, stielrunder, flachrinniger oder auch etwas kantiger, oft innen hohler Stängel. Er ist nicht selten schmutzigviolett überlaufen, oft bläulich bereift und in der Regel oberwärts abstehend-ästig verzweigt.
Die Blätter sitzen auf ziemlich kurzen, breit weißhautrandigen, an der Spitze öhrchenförmig vorgezogenen Scheiden. Sie sind zwei- bis dreifach fiederschnittig, oberseits dunkelgrün, unterseits gras- oder mattgrün, frisch stark glänzend, im Umriss dreieckig und fast so lang wie breit. Die unteren Seitenabschnitte erster Ordnung sind in der Regel langgestielt. Die Abschnitte letzter Ordnung sind im Umriss eiförmig bis eiförmig-länglich, zur Spitze hin allmählicher als zum kürzer oder länger keilförmigen Grund hin verjüngt. Die Zipfel letzter Ordnung sind eiförmig bis lanzettlich, an den oberen Blättern auch linealisch, und gekerbt bis ganzrandig. Die ersten Grundblätter sind weniger stark eingeschnitten und ihre Zipfel stumpflicher als die der oberen Stängelblätter.
Die hüllenlosen Dolden sind mittelgroß, langgestielt, oben ziemlich flach und tragen 10 bis 20 ungleich lange, kantige, auf der inneren Seite papillös rau-flaumige Strahlen. Die Döldchen beginnen oberhalb der in der Regel drei einseitig ausgebildeten, auf der Außenseite der Döldchen herabhängenden, linealischen bis fädlichen, krautigen oder unterwärts hautrandigen Hüllchenblätter.
Die zwittrigen Blüten zeigen nur einen undeutlichen Kelchsaum, fünf weiße, seltener rötliche, am Grund zu jeder Seite des Kieles mit einem grünen Grübchen versehene Kronblätter, die ungleich groß, an den Randblüten strahlend, verkehrt herzförmig und an der Spitze mit einem schlanken eingeschlagenen Läppchen versehen sind. Auf dem flach gewölbten Griffelpolster sitzt ein etwa 0,5 mm langer, weit zurückgebogener Griffel mit schwach kopfig angeschwollener Narbe. Die noch grünen Früchte sind breit eiförmig bis fast kugelig und etwa 2,5 bis 4 mm hoch.
Arzneiformen
Herstellung
Urtinktur und flüssige Verdünnungen nach Vorschrift 3a
Eigenschaften
Die Urtinktur ist eine grasgrüne bis gelbgrüne Flüssigkeit.
Prüfung auf Identität
Dünnschichtchromatographie (2.2.27)
Untersuchungslösung: die Urtinktur
Referenzlösung: 10 mg Aescin R, 10 mg Rutosid-Trihydrat R und 10 mg Kaffeesäure R werden in 10 ml Methanol R gelöst.
Platte: DC-Platte mit Kieselgel R (5 bis 40 µm) [oder DC-Platte mit Kieselgel R (2 bis 10 µm)]
Fließmittel: Wasser R, Essigsäure 99 % R, 1-Butanol R (17:17:66 V/V/V)
Auftragen: 40 µl [oder 10 µl] Untersuchungslösung und 20 µl [oder 5 µl] Referenzlösung; bandförmig 20 mm [oder 10 mm]
Laufstrecke: 10 cm [oder 6 cm]
Detektion: Nach Verdunsten des Fließmittels wird die Platte mit verdünnter Schwefelsäure R behandelt und 5 bis 10 min lang bei 105 bis 110 °C erhitzt.
Die Auswertung erfolgt innerhalb von 10 min im Tageslicht.
Ergebnis: Die Zonenfolge in den Chromatogrammen von Referenzlösung und Untersuchungslösung ist aus den nachstehenden Angaben ersichtlich.
Im Chromatogramm der Untersuchungslösung können weitere Zonen vorhanden sein.

Prüfung auf Reinheit
Relative Dichte (2.2.5): 0,900 bis 0,920
Trockenrückstand (H 2.2.6): mindestens 1,6 und höchstens 3,5 Prozent
Lagerung
Vor Licht geschützt
Anmerkungen zur Monographie:
- –
-
Definition: Der wissenschaftliche Pflanzenname wird auf den aktuell gültigen Namen gemäß der Datenbank„Medicinal Plant Names Services“ (MPNS) geändert.
- –
-
Beschreibung: Bei der Pflanzenbeschreibung wird auf das frische Pflanzenmaterial Bezug genommen.
- –
-
Gehaltsspezifikation der Urtinktur: Die Spanne für die Gehaltsspezifikation wird aufgrund der vorliegenden Chargendaten von 0,007 bis 0,025 % auf 0,007 bis 0,035 % geändert.
- –
-
Prüfung auf Identität: Bei der DC-Methode wird bei der Detektion von „besprüht“ auf „behandelt“ geändert, um neben dem Besprühen auch ein Tauchen zu ermöglichen.
- –
-
Prüfung auf Reinheit: Die relative Dichte wird aufgrund der vorliegenden Chargendaten von 0,907 bis 0,927 auf 0,905 bis 0,935 geändert.
- –
-
Gehaltsbestimmung: Der Wortlaut wird wie in der HAB-Monographie „Cytisus scoparius (Spartium scoparium)“ wie folgt geändert: „2,50 g Urtinktur werden unter vermindertem Druck bis fast zur Trockne eingeengt.“ Damit wird die Bildung eines schwerlöslichen Rückstandes verhindert und die Reproduzierbarkeit der Bestimmung verbessert.
Baptisia tinctoria
Baptisia
Verwendet werden die frischen, unterirdischen Teile von Baptisia tinctoria (L.) R.Br.
Beschreibung
Das kurze Rhizom ist bis zu 2 cm dick, knorrig verbogen, mit zahlreichen 7 bis 12 mm dicken, bis 60 cm langen, zylindrischen Wurzeln. Die Oberfläche ist gelblichbraun, überwiegend glatt bis schwach querrunzelig und mit zahlreichen feinen Seitenwurzeln besetzt. Den breiten, gelbbraunen Holzkörper umgibt eine nur bis 2 mm dicke, graubraune, leichtablösende Rinde. Die Rhizomstücke enthalten Mark.
Arzneiformen
Die Urtinktur enthält mindestens 0,007 und höchstens 0,035 Prozent (m/m) Chinolizidinalkaloide, berechnet als (–)-Spartein (C15H26N2; Mr 234,4).
Herstellung
Urtinktur und flüssige Verdünnungen nach Vorschrift 3a
Eigenschaften
Die Urtinktur ist eine rotbraune Flüssigkeit.
Prüfung auf Identität
Dünnschichtchromatographie (2.2.27)
Untersuchungslösung: die Urtinktur
Referenzlösung: 10 mg Hyoscyaminsulfat R und 10 mg Scopolaminhydrobromid R werden in 10 ml Methanol R gelöst.
Platte: DC-Platte mit Kieselgel R
Fließmittel: konzentrierte Ammoniak-Lösung R, Wasser R, Aceton R (3:7:90 V/V/V)
Auftragen: 40 µl Untersuchungslösung und 10 µl Referenzlösung; bandförmig 20 mm
Laufstrecke: 10 cm
Detektion: Nach Verdunsten des Fließmittels wird die Platte mit 2 bis 3 ml Natriumnitrit-Lösung R und danach vorsichtig mit Dragendorffs Reagenz R bis zur Zonenentwicklung behandelt. Die Auswertung erfolgt im Tageslicht.
Ergebnis: Die Zonenfolge in den Chromatogrammen von Referenzlösung und Untersuchungslösung ist aus den nachstehenden Angaben ersichtlich.
Im Chromatogramm der Untersuchungslösung können weitere Zonen vorhanden sein.

Prüfung auf Reinheit
Relative Dichte (2.2.5): 0,905 bis 0,935
Trockenrückstand (H 2.2.6): mindestens 3,5 Prozent
Gehaltsbestimmung
2,50 g Urtinktur werden unter vermindertem Druck bis fast zur Trockne eingeengt.
Der Rückstand wird viermal mit je 5 ml Pufferlösung pH 5,6 RH, gegebenenfalls unter Verwendung von Ultraschall, behandelt und durch einen Papierfilter unter Nachspülen mit Pufferlösung pH 5,6 RH quantitativ in einen Scheidetrichter geeigneter Größe überführt.
Die vereinigten Lösungen werden mit 2 ml einer frisch hergestellten Lösung von 0,100 g Eriochromschwarz T R in 50 ml Methanol R versetzt. Die Mischung wird zunächst mit 50 ml und anschließend mit 40 ml Dichlormethan R je 5 min lang ausgeschüttelt. Die vereinigten organischen Phasen werden gegebenenfalls mit wasserfreiem Natriumsulfat R behandelt. Sie werden durch einen Faltenfilter in einen 100-ml-Messkolben filtriert, der 5,0 ml Methanol R enthält, und mit Dichlormethan R zu 100,0 ml verdünnt.
Die Absorption A (2.2.25) der Lösung wird bei 520 nm gegen Dichlormethan R gemessen.
Der Prozentgehalt (m/m) an Alkaloiden, berechnet als (–)-Spartein (C15H26N2), wird mit Hilfe der spezifischen Absorption
= 1035 nach folgender Formel berechnet:

m = Einwaage der Urtinktur in Gramm
Lagerung
Vor Licht geschützt
Anmerkungen zur Monographie:
- –
-
Definition: Der wissenschaftliche Pflanzenname wird auf den aktuell gültigen Namen gemäß der Datenbank „Medicinal Plant Names Services“ (MPNS) geändert und die Monographie-Titel werden entsprechend angepasst.
- –
-
Beschreibung und Eigenschaften: Streichung des Geruchs bei Ausgangsmaterial und Urtinktur
- –
-
Prüfung auf Identität A: Die unspezifische nasschemische Prüfung wird gestrichen.
- –
-
Prüfung auf Identität B: Die DC-Methode wird überarbeitet, die HPTLC-Bedingungen ergänzt und die Beschreibung der Zonen im Text durch eine schematische Darstellung (DC-Kasten) ersetzt.
Betonica officinalis
Stachys officinalis1
Betonica2
Verwendet werden die frischen oberirdischen Teile von Betonica officinalis (L.) zur Blütezeit.
Beschreibung
Das Kraut entwickelt beim Zerreiben einen dumpf aromatischen Geruch.
Die aufsteigenden oder aufrechten, 0,2 bis 0,8 m langen, an der Basis bis 5 mm dicken, sich nur allmählich verjüngenden, vierkantigen, rinnigen Stängel sind einfach oder tragen im Blütenstand ein Paar Seitenäste. Sie haben sehr lange Internodien von etwa 200 bis 250 mm Länge. Der Stängel ist in der Regel locker mit kurzen, weißen, abstehenden bis abwärts angedrückten Haaren besetzt.
Die Laubblätter sind zu einer grundständigen Rosette vereinigt, mit Ausnahme von zwei oder drei Paar kreuzgegenständigen Stängelblättern und fünf bis zehn Paar kleinen, sitzenden Tragblättern im Infloreszenzbereich. Die Grundblätter haben 40 bis 180 mm lange, oberseits rinnige, behaarte Stiele und eine 30 bis 150 mm lange, 10 bis 60 mm breite, länglich-eiförmige bis elliptische, an beiden Enden abgerundete oder am Grund tief herzförmige und manchmal schiefe, ringsum mit halbkreisförmigen, etwa 2 bis 5 mm breiten Kerbzähnen versehene, insbesondere unterseits behaarte, schwach glänzende Blattspreite. Auf der Unterseite treten die Blattadern deutlich hervor. Die Stängelblätter ähneln den Rosettenblättern, sind jedoch kurz gestielt bis sitzend, nur bis 80 mm lang und bis 35 mm breit. Die Tragblätter der unteren Blüten sind etwa 20 mm lang und ähnlich den Grundblättern gekerbt; die oberen sind in der Regel ganzrandig und kaum länger als die Kelche.
Die etwa zehnblütigen Scheinwirtel des Blütenstands sind zu 30 bis 60 mm langen, dichten oder in der unteren Hälfte unterbrochenen Scheinähren vereinigt. Die kahlen oder locker behaarten Kelche haben eine glockige, schwach nervige, etwa 5 mm lange Röhre mit fünf gleichen, 2 bis 3 mm langen, durch weite Buchten getrennten, lanzettlichen, begrannten Zähnen. Die Oberseiten sind oft violett überlaufen. Die schwach seidig behaarten, in der Regel hellkarminroten Kronen haben eine an der Basis schwach abwärts gekrümmte, im übrigen Teil gerade, 10 mm lange Röhre. Die 6 mm lange, ganzrandige Oberlippe ist flach oder aufwärts gewölbt, die ebenso lange Unterlippe ausgebreitet und deutlich dreilappig mit einem großen, abgerundeten, manchmal etwas gezähnten Mittellappen. Die vier Staubblätter mit violettbraunen, wenig spreizenden Pollensäcken überragen die Kronröhre nur wenig; die Filamente sind bis zum Schlund mit dieser verwachsen. Der Griffel trägt eine zweispitzige Narbe. Der Fruchtknoten ist vierteilig.
Arzneiformen
Herstellung
Urtinktur und flüssige Verdünnungen nach Vorschrift 3a
Eigenschaften
Die Urtinktur ist eine braune Flüssigkeit.
Prüfung auf Identität
Dünnschichtchromatographie (2.2.27)
Untersuchungslösung: die Urtinktur
Referenzlösung: 5 mg Rutosid-Trihydrat R, 5 mg Hyperosid R und 5 mg Kaffeesäure R werden in 5 ml Methanol R gelöst.
Platte: DC-Platte mit Kieselgel R (5 bis 40 µm) [oder DC-Platte mit Kieselgel R (2 bis 10 µm)]
Fließmittel: Ameisensäure R, Essigsäure R, Wasser R, Ethylacetat R (8:8:19:73 V/V/V/V)
Auftragen: 40 µl [oder 7 µl] Untersuchungslösung und 15 µl [oder 5 µl] Referenzlösung; bandförmig 20 mm [oder 8 mm]
Laufstrecke: 10 cm [oder 6 cm]
Trocknen: an der Luft
Detektion: Nach Verdunsten des Fließmittels wird die Platte mit einer Lösung von Diphenylboryloxyethylamin R (10 g · l−1) in Methanol R und anschließend mit einer Lösung von Macrogol 400 R (50 g · l−1) in Methanol R behandelt. Die Auswertung erfolgt nach 30 min im ultravioletten Licht bei 365 nm.
Ergebnis: Die Zonenfolge in den Chromatogrammen von Referenzlösung und Untersuchungslösung ist aus den nachstehenden Angaben ersichtlich. Im Chromatogramm der Untersuchungslösung können weitere fluoreszierende Zonen vorhanden sein.

Prüfung auf Reinheit
Relative Dichte (2.2.5): 0,900 bis 0,920
Trockenrückstand (H 2.2.6): mindestens 2,0 Prozent
Lagerung
Vor Licht geschützt
Anmerkung zur Monographie:
Gehaltsspezifikation: Bei den Arzneiformen wird der Gehalt nicht mehr auf die kristallwasserhaltige Substanz bezogen, sondern – wie beim Ausgangsstoff in der Ph. Eur. – auf die wasserfreie Substanz.
Cadmium sulfuricum
Der Ausgangsstoff muss der Monographie Cadmium sulfuricum für homöopathische Zubereitungen (Ph. Eur.) entsprechen.
Arzneiformen
Die Lösung D1 beziehungsweise die 1. Dezimalverreibung enthält mindestens 7,4 und höchstens 9,0 Prozent CdSO4.
Herstellung
Lösung D1 nach Vorschrift 5a mit Ethanol 15 % (m/m)
Verreibungen nach Vorschrift 6
Eigenschaften
Die Lösung D1 ist eine klare, farblose Flüssigkeit.
Die 1. Dezimalverreibung ist ein weißes Pulver.
Prüfung auf Identität
Die Mischung von 2 ml der Lösung D1 und 8 ml Wasser R beziehungsweise die Lösung von 1 g der 1. Dezimalverreibung in 10 ml Wasser R gibt die Identitätsreaktionen der Substanz.
Prüfung auf Reinheit
Aussehen der Lösung: Die Lösung D1 muss klar (2.2.1) und farblos (2.2.2, Methode II) sein.
Relative Dichte (2.2.5): 1,052 bis 1,066
Gehaltsbestimmung
2,00 g der Lösung D1 werden mit 50 ml Wasser R verdünnt. 2,00 g der 1. Dezimalverreibung werden in 50 ml Wasser R gelöst. Die Bestimmung erfolgt wie unter „Gehaltsbestimmung“ bei der Substanz angegeben.
Anmerkungen zur Monographie:
Gehaltsbestimmung: Die Gehaltsbestimmung wird durch eine Grenzwertbestimmung mit Angabe einer Obergrenze ersetzt (siehe unter „Prüfung auf Reinheit“), da im Rahmen von Stabilitätsuntersuchungen eine deutliche Gehaltsabnahme bzw. Instabilität von Protoanemonin festgestellt wurde.
Clematis recta
Clematis
Verwendet werden die frischen oberirdischen Teile von Clematis recta L. zur Blütezeit.
Beschreibung
Der aufrechte, nicht kletternde, krautige, selten verholzte, 1 bis 1,5 m hohe Stängel ist im unteren Bereich schwach gefurcht, mehr oder weniger stielrund und wird nach oben hin kantig. Er ist unten kahl und nach oben hin kurz flaumig behaart. Blattachseln und Blattstiele sind etwas stärker behaart.
Die unpaarig gefiederten, 150 bis 200 mm langen Blätter sind gegenständig mit fast waagrecht abstehenden Blattstielen, die wie die Mittelrippe leicht rankend sind. Die Blättchen der zwei bis vier Fiederpaare sind 40 bis 90 mm lang, eiförmig, zugespitzt, am Grunde verschmälert, fast stets ganzrandig, lederartig und fiedernervig. Sie sind oberseits blaugrün und erscheinen unterseits durch lange, weiße Haare graugrün.
Die Blüten stehen in reichblütigen, gegenständigen Rispen, die endständig zu Trugdolden vereint sind. Die Blüten haben einen Durchmesser von 20 bis 40 mm und bestehen aus einer weißen, vierblättrigen, unverwachsenen Blütenhülle mit 8 bis 15 mm langen, schmal eiförmigen, stumpfen Perigonblättern, die auf der Außenseite mit einzelnen Haaren bedeckt und am Rand filzig behaart sind. Die zahlreichen, weißlich gelblichen Staubblätter sind kürzer als die Perigonblätter. Sie haben kurze Staubfäden und zweifächerige, nach außen aufspringende, gelbe Theken. Die zahlreichen, oberständigen, freien, grünen Fruchtblätter sind etwa 1 mm lang und tragen einen an der Spitze hakenförmig gebogenen Griffel mit weißer, seidig glänzender Behaarung. Der Blütenboden ist halbkugelig.
Arzneiformen
Herstellung
Urtinktur und flüssige Verdünnungen nach Vorschrift 3a
Eigenschaften
Die Urtinktur ist eine braungrüne Flüssigkeit.
Prüfung auf Identität
Dünnschichtchromatographie (2.2.27)
Untersuchungslösung: die Urtinktur
Referenzlösung: 10 mg Phenazon R, 5 mg Methylrot R und 30 mg Anethol R werden in 10 ml Methanol R gelöst.
Platte: DC-Platte mit Kieselgel F254 R (5 bis 40 µm) [oder DC-Platte mit Kieselgel F254 R (2 bis 10 µm)]
Fließmittel: Ameisensäure R, Wasser R, Ethylacetat R (5:5:90 V/V/V)
Auftragen: 40 µl [oder 10 µl] Untersuchungslösung und 10 µl [oder 3 µl] Referenzlösung; bandförmig 20 mm [oder 10 mm]
Laufstrecke: 15 cm [oder 6 cm]
Trocknen: 5 min lang bei 105 bis 110 °C
Detektion A: Auswertung des Chromatogramms der Referenzlösung im ultravioletten Licht bei 254 nm
Detektion B: Die Platte wird mit einer Lösung von Vanillin R (10 g · l−1) in einer Lösung von Schwefelsäure R (50 ml · l−1) in Ethanol 96 % R besprüht und bei 105 bis 110 °C bis zur optimalen Farbentwicklung erhitzt. Die Auswertung erfolgt im Tageslicht.
Ergebnis: Die Zonenfolge in den Chromatogrammen von Referenzlösung und Untersuchungslösung ist aus den nachstehenden Angaben ersichtlich. Im Chromatogramm der Untersuchungslösung können weitere Zonen vorhanden sein.

Prüfung auf Reinheit
Relative Dichte (2.2.5): 0,900 bis 0,920
Trockenrückstand (H 2.2.6): mindestens 2,4 Prozent
Protoanemonin (2.2.29): höchstens 0,25 Prozent (m/m) Protoanemonin (C5H4O2; Mr 96,1), berechnet als Anemonin (C10H8O4; Mr 192,2)
Die Bestimmung muss unter Ausschluss von direktem Licht und unter Verwendung von Braunglas erfolgen.
Untersuchungslösung: 0,500 g Urtinktur werden in einer Mischung von Acetonitril R und Wasser R (1:1 V/V) zu 10,0 ml gelöst.
Referenzlösung a: 6,0 mg Anemonin RH werden in einer Mischung von Acetonitril R und Wasser R (1:1 V/V) zu 10,0 ml gelöst. 1,0 ml Lösung wird mit der gleichen Lösungsmittelmischung zu 10,0 ml verdünnt.
Referenzlösung b: 2,0 ml Untersuchungslösung und 2,0 ml Referenzlösung a werden gemischt.
Säule
- –
-
Größe: l = 0,15 m, Ø = 4,6 mm
- –
-
Stationäre Phase: octadecylsilyliertes Kieselgel zur Chromatographie R (2,7 µm)
- –
-
Temperatur: 45 °C
Mobile Phase
- –
-
Mobile Phase A: Wasser R, mit Phosphorsäure 85 % R auf einen pH-Wert von 2,0 eingestellt
- –
-
Mobile Phase B: Acetonitril R, Wasser R (90:10 V/V)
| Zeit (min) | Mobile Phase A (% V/V) | Mobile Phase B (% V/V) |
|---|---|---|
| 0 – 2 | 95 | 5 |
| 2 – 14 | 95 → 72 | 5 → 28 |
| 14 – 17 | 72 → 20 | 28 → 80 |
| 17 – 18 | 20 → 95 | 80 → 5 |
| 18 – 32 | 95 | 5 |
Durchflussrate: 0,8 ml · min−1
Detektion: Spektrometer (mit variabler Wellenlänge) bei 207 nm (Anemonin) und 261 nm (Protoanemonin)
Einspritzen: 10 µl; Untersuchungslösung, Referenzlösung a
Relative Retention (bezogen auf Anemonin, t R etwa 9 min)
- –
-
Protoanemonin: etwa 0,7
Eignungsprüfung: Referenzlösung b
- –
-
Auflösung: mindestens 5,0 zwischen den Peaks von Protoanemonin und Anemonin
Der Prozentgehalt (m/m) an Protoanemonin, berechnet als Anemonin, wird nach folgender Formel berechnet:

| A1 | = | Fläche des Protoanemonin-Peaks im Chromatogramm der Untersuchungslösung bei 261 nm |
| A2 | = | Fläche des Anemonin-Peaks im Chromatogramm der Referenzlösung a bei 207 nm |
| m1 | = | Einwaage der Urtinktur in Gramm |
| m2 | = | Masse der Referenzsubstanz Anemonin RH in Gramm |
| p | = | Prozentgehalt an Anemonin in der Referenzsubstanz Anemonin RH |
Lagerung
Vor Licht geschützt
Anmerkungen zur Monographie:
| – | Prüfung auf Identität: | |
| – | Identitätsprüfung A und B: Die unspezifischen nasschemischen Prüfungen werden gestrichen. | |
| – | Identitätsprüfung C: Die DC-Methode wird wie folgt überarbeitet: Einsatz eines etherfreien Fließmittelsystems, eines einfacher zu handhabenden Detektionsmittels, Aufnahme der HPTLC und Ersatz der Beschreibung der Zonen durch eine schematische Darstellung (DC-Kasten) | |
| – | Gehaltsbestimmung: Die Gehaltsbestimmung wird durch eine Grenzwertbestimmung mit Angabe einer Obergrenze ersetzt (siehe unter „Prüfung auf Reinheit“), da im Rahmen von Stabilitätsuntersuchungen eine deutliche Gehaltsabnahme bzw. Instabilität der Conium-Alkaloide festgestellt wurde. | |
Conium maculatum
Conium
Verwendet werden die frischen oberirdischen Teile blühender, noch nicht fruchtender Pflanzen von Conium maculatum L.
Beschreibung
Alle Pflanzenteile haben, insbesondere beim Zerreiben, einen unangenehm-aromatischen Geruch.
Die ein- bis zweijährigen Pflanzen besitzen einen aufrechten, stielrunden, bis auf die Knoten hohlen, fein gerillten, grünen, bläulich bereiften, kahlen, im unteren Teil gewöhnlich rötlich braun gefleckten, nach oben hin stark verzweigten, tiefer gerillten, 0,5 bis 2,5 m hohen Stängel, der mehr oder weniger zahlreiche Blätter trägt.
Die unteren Laubblätter sind zwei- oder dreifach, bisweilen vierfach gefiedert, im Umriss dreieckig-eiförmig, auf stielrundem, röhrigem, am Grund scheidenförmigem Stiel, bis 0,5 m lang und 0,4 m breit. Die oberen Blätter sind kleiner, weniger zerteilt und auf schmaler, weißlicher, hautrandiger Scheide sitzend. Die Blattfiedern erster und zweiter Ordnung sind gestielt, länglich-lanzettlich bis deltoid, die sitzenden Fiederteile letzter Ordnung eiförmig-länglich, spitz, fiederteilig oder fiederspaltig, ihre unteren Zipfel eingeschnitten gesägt, nach oben hin feiner gesägt und bisweilen fast ganzrandig. Die Zipfel und Zähne letzter Ordnung sind eiförmig bis eilänglich, spitz oder stumpflich und mit kurzem, weißem, knorpeligem Stachelspitzchen besetzt. Die Laubblätter sind oberseits grün, glänzend, unterseits hell graugrün, ziemlich weich und kahl. Die am Ende des Stängels und der oft gegen- oder bisweilen zu dritt quirlständigen Äste stehenden Doppeldolden sind ziemlich flach, mäßig lang gestielt und besitzen 10 bis 20, auf der Innenseite oft kurz flaumig behaarte Strahlen. Die Hülle besteht aus in der Regel fünf oder sechs kurzen, nicht die halbe Länge der Strahlen erreichenden, schmal dreieckig-lanzettlichen, zugespitzten, weißlichen, hautrandigen, zurückgeschlagenen Blättchen. Die zwei bis sechs nur an der Außenseite der Döldchen ausgebildeten Blättchen der Hüllchen sind eiförmig-lanzettlich, am Grund etwas verbreitert und hier oft miteinander verbunden, am Rand schmalhäutig, kahl, kürzer oder länger als die auf der Innenseite oft kurz flaumig behaarten Strahlen der Döldchen, zuletzt zurückgeschlagen.
Die zwittrigen Blüten lassen einen nur als schmalen, das Griffelpolster umgebenden Ring ausgebildeten, ungezähnten Kelchsaum erkennen. Die fünf freien Kronblätter sind verkehrt-herzförmig und durch den sehr kleinen, spitzen, eingeschlagenen Mittelzipfel schwach ausgerandet, weiß, etwa 1,5 mm lang und etwas über 1 mm breit. Die fünf Staubblätter sind anfangs zur Mitte hin eingekrümmt, später ausgebreitet. Die dem Griffelpolster aufsitzenden zwei Griffel mit kopfiger Narbe sind 0,5 bis 1 mm lang, zuletzt fadenförmig und zurückgeschlagen. Der unterständige, zweiteilige, kahle Fruchtknoten ist seitlich abgeflacht, von der Seite betrachtet eiförmig.
Arzneiformen
Herstellung
Urtinktur und flüssige Verdünnungen nach Vorschrift 2a
Eigenschaften
Die Urtinktur ist eine braungelbe bis grüngelbe Flüssigkeit mit einem unangenehmen, charakteristischen Geruch.
Prüfung auf Identität
Dünnschichtchromatographie (2.2.27)
Untersuchungslösung: 5 ml Urtinktur werden mit 1 ml Ameisensäure R versetzt und geschüttelt. Die angesäuerte Mischung wird unter vermindertem Druck auf etwa 2 ml eingeengt und nach dem Einengen mit einer Mischung von 2 Volumteilen Ameisensäure R und 98 Volumteilen Wasser R in einen 10 ml Messzylinder überführt und mit einer Mischung von 2 Volumteilen Ameisensäure R und 98 Volumteilen Wasser R auf 5 ml ergänzt. Die Mischung wird auf eine mit je 2 ml Methanol R und Wasser R vorkonditionierte Kartusche, gefüllt mit Kationenaustauscher RH (30 μm; 60 mg)3 gegeben. Die Säule wird mit 3 ml einer Mischung von 2 Volumteilen Ameisensäure R, 98 Volumteilen Wasser R und 5 ml Methanol R gewaschen. Der auf der Kartusche verbleibende Methanol R wird entfernt. Die Kartusche wird trocken gesaugt. Anschließend wird mit 3 ml einer Mischung von 2 Volumteilen konzentrierter Ammoniak-Lösung R und 98 Volumteilen Methanol R eluiert. Das Eluat wird unter vermindertem Druck bei etwa 40 bis 50 °C zur Trockne eingeengt. Der Rückstand wird in 0,5 ml Methanol R gelöst.
Referenzlösung: 10 mg Atropinsulfat R und 10 mg Procainhydrochlorid R werden in 10 ml Methanol R gelöst.
Platte: DC-Platte mit Kieselgel F254 R (5 bis 40 μm) [oder DC-Platte mit Kieselgel F254 R (2 bis 10 μm)]
Fließmittel: konzentrierte Ammoniak-Lösung R, Wasser R, Toluol R, Methanol R, Ethylacetat R (2,5/5/20/30/40V/V/V/V/V)
Auftragen: 100 µl [oder 20 μl] Untersuchungslösung und 30 µl [oder 7 μl] Referenzlösung; bandförmig 20 mm [oder 8 mm]
Laufstrecke: 10 cm [oder 7 cm]
Trocknen: 10 min im Warmluftstrom
Detektion: Die Platte wird mit Dragendorffs Reagenz R und danach mit Natriumnitrit-Lösung R behandelt und nach 5 min im Tageslicht ausgewertet.
Ergebnis: Die Zonenfolge in den Chromatogrammen von Referenzlösung und Untersuchungslösung ist aus den nachstehenden Angaben ersichtlich. Im Chromatogramm der Untersuchungslösung können weitere Zonen vorhanden sein.

Prüfung auf Reinheit
Relative Dichte (2.2.5): 0,930 bis 0,950
Trockenrückstand (H 2.2.6): mindestens 2,0 Prozent
Alkaloide: höchstens 0,080 Prozent Alkaloide, berechnet als Coniin (C8H17N; M r 127,2).
25,0 g Urtinktur werden mit 0,2 ml Salzsäure R versetzt. Die Mischung wird geschüttelt und so lange auf dem Wasserbad eingeengt, bis der Geruch nach Ethanol nicht mehr wahrnehmbar ist. Die Mischung wird durch tropfenweisen Zusatz von etwa 0,5 ml konzentrierter Natriumhydroxid-Lösung R auf einen pH-Wert (2.2.3) von 12 eingestellt und anschließend mit Wasser R zu 15 ml verdünnt. Diese Mischung wird quantitativ in ein Chromatographierohr von etwa 150 mm Länge und 30 mm Durchmesser überführt, das 15 g granulierte Kieselgur RH enthält. Nach 15 min wird mit 50 ml Ether R eluiert und das Eluat unter Rühren in einem 100-ml-Rundkolben aufgefangen, der 6,0 ml Salzsäure (0,05 mol · l−1) enthält. Nach dem Abtropfen des Ethers wird die Mischung vorsichtig erwärmt, bis der Geruch nach Ether nicht mehr wahrnehmbar ist. Der Rückstand wird mit 0,1 ml Methylrot-Mischindikator-Lösung R versetzt und die Mischung mit Natriumhydroxid-Lösung (0,05 mol · l−1) bis zum Farbumschlag nach Grün titriert.
1 ml Salzsäure (0,05 mol · l−1) entspricht 6,35 mg Alkaloiden, berechnet als C8H17N.
Lagerung
Vor Licht geschützt
Anmerkungen zur Monographie:
- –
-
Beschreibung: Der Geruch wird gestrichen, da dieser nicht charakteristisch ist.
- –
-
Prüfung auf Reinheit: Die Herstellungsbeschreibung der Prüflösung II für die Reinheitsprüfung der Substanz wird präzisiert, da laut einer Anfrage Probleme mit der Herstellung der Prüflösung II bestanden bzw. die Filtration durch den Glassintertiegel nicht funktionierte.
Corallium rubrum
Verwendet werden die Bruchstücke des Kalkskelettes von Corallium rubrum L., die mindestens 82 Prozent CaCO3 (M r 100,1) enthalten.
Beschreibung
Die harten Bruchstücke sind zylindrisch oder abgeflacht und in der Regel 10 bis 40 mm lang. Sie sind gerade oder gebogen und zum Teil ästig. Die Außenseite weist Längsstreifen und kleine, grubige Vertiefungen auf. Der Querschnitt zeigt konzentrische Schichtung und feine radiale Streifung. Die Stücke sind innen weiß und nach außen hin hell- bis dunkelrot.
Prüfung auf Identität
Prüflösung I: 0,7 g pulverisierte Substanz (90) werden mit 7 ml Salzsäure R 1 versetzt. Nach Beendigung der Gasentwicklung wird die Mischung bis fast zum Sieden erhitzt und nach dem Erkalten filtriert.
- A.
-
1 ml Prüflösung I wird mit verdünnter Ammoniak-Lösung R 1 auf einen pH-Wert von 9 eingestellt. Nach Zusatz von 3 ml Ammoniumcarbonat-Lösung R wird die Mischung 5 min lang auf dem Wasserbad erwärmt und anschließend filtriert. Filter und Rückstand werden mit 2 ml Wasser R gewaschen. Das Filtrat wird für die Identitätsprüfung B aufbewahrt.Der Rückstand wird in 5 ml Essigsäure R gelöst und die Mischung filtriert. Dieses Filtrat gibt die Identitätsreaktion b auf Calcium (2.3.1).
- B.
-
Wird das Filtrat der Identitätsprüfung A mit 0,3 ml Titangelb-Lösung R und mit konzentrierter Natriumhydroxid-Lösung R bis zur alkalischen Reaktion versetzt, entsteht ein himbeerroter Niederschlag.
- C.
-
0,5 g pulverisierte Substanz (90) werden mit 5 ml Salzsäure R 1 versetzt. Nach Beendigung der Gasentwicklung und Zusatz von 0,5 ml Wasserstoffperoxid-Lösung 30 % R wird die Mischung 5 min lang zum Sieden erhitzt und anschließend abgekühlt. Die Lösung gibt die Identitätsreaktion c auf Eisen (2.3.1).
- D.
-
Die Substanz gibt die Identitätsreaktion auf Carbonat (2.3.1).
- E.
-
5 ml Prüflösung I geben die Identitätsreaktion a auf Sulfat (2.3.1).
Prüfung auf Reinheit
Prüflösung II: 2,50 g pulverisierte Substanz (90) werden mit 40 ml verdünnter Essigsäure R versetzt und anschließend 15 min lang im Ultraschallbad behandelt. Nach Beendigung der Gasentwicklung wird die Mischung 10 min lang zum Sieden erhitzt, wobei verdünnte Essigsäure R bei Bedarf ergänzt wird. Nach dem Erkalten wird mit verdünnter Essigsäure R zu 50,0 ml aufgefüllt und durch einen tarierten Glassintertiegel Nr. 16 (2.1.2) mit einem Durchmesser von 4 cm filtriert.
In Essigsäure unlösliche Verunreinigungen: höchstens 2,0 Prozent
Der bei der Herstellung der Prüflösung II im Glassintertiegel verbliebene Rückstand wird viermal mit je 5 ml heißem Wasser R gewaschen und anschließend 1 h lang bei 100 bis 105 °C getrocknet.
Schwermetalle (2.4.8): 20 ml Prüflösung II werden mit 15 ml Salzsäure R 1 versetzt und die Mischung 3 min lang mit 25 ml frisch destilliertem Isobutylmethylketon R ausgeschüttelt. Die wässrige Phase wird in einer Porzellanschale auf dem Wasserbad zur Trockne eingedampft. Der Rückstand wird 10 min lang bei etwa 600 °C geglüht. Nach dem Erkalten wird er mit 1,0 ml Essigsäure R befeuchtet, mit 10 ml Wasser R aufgeschlämmt und die Mischung filtriert. Das Filtrat wird mit Wasser R zu 20 ml verdünnt.
12 ml dieser Lösung müssen der Grenzprüfung A auf Schwermetalle entsprechen (20 ppm). Zur Herstellung der Referenzlösung wird die Blei-Lösung (1 ppm Pb) R verwendet.
Trocknungsverlust (2.2.32): höchstens 1,0 Prozent, mit 1,000 g Substanz durch Trocknen im Trockenschrank bei 100 bis 105 °C bestimmt
Gehaltsbestimmung
0,200 g pulverisierte Substanz (90) werden in einem 500-ml-Erlenmeyerkolben in einer Mischung von 10 ml Wasser R und 3 ml verdünnter Salzsäure R gelöst. Die Lösung wird 2 min lang zum Sieden erhitzt und nach dem Abkühlen mit Wasser R zu 300 ml verdünnt. Diese Lösung wird nach Zusatz von 6,0 ml konzentrierter Natriumhydroxid-Lösung R, 10 ml Triethanolamin R und 10 bis 20 mg Calconcarbonsäure-Verreibung R mit Natriumedetat-Lösung (0,1 mol · l−1) bis zum Farbumschlag von Violett nach Tiefblau titriert.
1 ml Natriumedetat-Lösung (0,1 mol · l−1) entspricht 10,01 mg CaCO3.
Arzneiformen
Die 1. Dezimalverreibung enthält eine mindestens 7,8 und höchstens 9,5 Prozent CaCO3 entsprechende Menge Corallium rubrum.
Herstellung
Verreibungen nach Vorschrift 6
Eigenschaften
Die 1. Dezimalverreibung ist ein schwach rosafarbenes Pulver.
Prüfung auf Identität
15 g der 1. Dezimalverreibung werden dreimal mit je 20 ml Wasser R versetzt. Die Mischung wird jeweils geschüttelt und zentrifugiert. Der Rückstand gibt die Identitätsreaktionen der Substanz.
Gehaltsbestimmung
Die Bestimmung erfolgt wie unter „Gehaltsbestimmung“ bei der Substanz angegeben mit 2,00 g der 1. Dezimalverreibung.
Anmerkungen zur Monographie:
Die Monographie ist bereits im Bundesanzeiger AT 21.09.2020 B4 angehört worden. Aufgrund einer Stellungnahme zur neu ausgearbeiteten DC-Methode wurde eine erneute Überarbeitung erforderlich.
Dabei wird nun ein weniger feuchtigkeitsanfälliges Fließmittel und als Referenzsubstanzen Ph.-Eur.-Reagenzien anstatt der chemischen Referenzsubstanzen (CRS) eingesetzt.
Weiterhin wird die Beschreibung der Zonen im Text durch eine schematische Darstellung (DC-Kasten) ersetzt.
Zudem werden folgende Änderungen vorgenommen:
- –
-
Beschreibung und Eigenschaften: Der Geruch wird bei Droge und Urtinktur gestrichen, da dieser nicht charakteristisch ist.
- –
-
Prüfung auf Identität: Die nasschemischen Identitätsprüfungen A und B werden gestrichen, da diese nicht spezifisch sind und die Prüfung mittels DC ausreichend ist.
Dioscorea villosa
Verwendet werden die frischen unterirdischen Teile von Dioscorea villosa L. nach der Blütezeit.
Beschreibung
Der mehr oder weniger lange, waagerecht kriechende, in der Regel verzweigte Wurzelstock ist 6 bis 15 mm dick, stellenweise etwas zusammengedrückt bis schwach knotig und von einem dünnen, schwach glänzenden, farblosen bis hellbraunen Abschlussgewebe bedeckt. An der Oberseite trägt er kleine rundliche Stängelnarben oder die Reste der bis 3 mm dicken Sprossachsen. Er trägt seitlich häufig farblose, kegelige bis fingerförmige Sprossknospen und endet jeweils in einer farblosen, von wenigen Schuppenblättern bedeckten Knospe. Der Wurzelstock ist vorwiegend seitlich und an der Unterseite mit zahlreichen, bis 1 mm dicken, fahlbraunen Wurzeln besetzt, die viele feine, verzweigte Seitenwurzeln tragen. Der harte, nur schwer biegsame Wurzelstock zeigt eine weiße Schnittfläche.
Arzneiformen
Herstellung
Urtinktur und flüssige Verdünnungen nach Vorschrift 3a
Eigenschaften
Die Urtinktur ist eine gelbe Flüssigkeit.
Prüfung auf Identität
Dünnschichtchromatographie (2.2.27)
Untersuchungslösung: 2 ml Urtinktur werden mit 2 ml Diisopropylether R ausgeschüttelt.
Die Oberphase wird verwendet.
Referenzlösung: 2 mg Diosgenin R, 2 mg β-Sitosterol R und 30 mg α-Tocopherolacetat R werden in 10 ml Ethanol 96% R gelöst.
Platte: DC-Platte mit Kieselgel R (5 bis 40 µm) [oder DC-Platte mit Kieselgel R (2 bis 10 µm)]
Fließmittel: Diisopropylether R, Ethylacetat R, Ether R (46:46:8 V/V/V)
Auftragen: 50 µl [oder 13 µl] Untersuchungslösung und 10 µl [oder 3 µl] Referenzlösung; bandförmig 20 mm [oder 10 mm]
Laufstrecke: 10 cm [oder 6 cm]
Trocknen: 10 min bei 105 °C
Detektion:
Die Platte wird mit Anisaldehyd-Reagenz R behandelt und 5 bis 10 min bei 100 bis 105 °C erhitzt. Die Auswertung erfolgt innerhalb von 10 min im Tageslicht.
Ergebnis:
Die Zonenfolge in den Chromatogrammen von Referenzlösung und Untersuchungslösung ist aus den nachstehenden Angaben ersichtlich.
Im Chromatogramm der Untersuchungslösung können weitere Zonen vorhanden sein.

Prüfung auf Reinheit
Relative Dichte (2.2.5): 0,895 bis 0,915
Trockenrückstand (H 2.2.6): mindestens 2,1 Prozent
Anmerkung zur Monographie:
- –
-
Definition: Der wissenschaftliche Pflanzenname wird auf den aktuell gültigen Namen gemäß der Datenbank „Medicinal Plant Names Services“ (MPNS) geändert und die Monographie-Titel werden entsprechend angepasst.
- –
-
Bei der HPLC-Gehaltsbestimmung auf Scillirosid, berechnet über Cumarin, wird der Gehaltsstandard von „Cumarin R“ auf „Cumarin CRS“ geändert.Cumarin R war hier nicht adäquat, da der Gehalt mittels Gaschromatographie gemäß der Ph.-Eur.-Monographie „Cassiaöl (Cinnamomi cassiae aetheroleum)“ (1496) bestimmt wird. Stattdessen wird nun Cumarin CRS eingesetzt, welches in der Ph. Eur. bei der HPLC-Gehaltsbestimmung von „Steinkleekraut“ (Meliloti herba)“ (2120) verwendet wird.
Drimia maritima
Urginea maritima4
Scilla5
Verwendet werden die frischen fleischigen Zwiebelschuppen der rotschaligen Unterart von Drimia maritima (L.) Stearn s. l. [Syn.: Urginea maritima (L.) Baker s. l.] [zum Beispiel Drimia numidica (Jord. et Fourr.) J.C. Manning & Goldblatt] mit eindeutig nachweisbarem Scillirosid-Anteil.
Beschreibung
Die Zwiebel hat einen Durchmesser von 50 bis 200 mm, in der Regel 100 bis 150 mm. Die äußeren Zwiebelschuppen sind trockenhäutig, dünn und rotbraun. Die bis zu 40 inneren mehr oder weniger fleischigen Zwiebelschuppen sind auf der Schnittfläche rot.
Arzneiformen
Die Urtinktur enthält mindestens 0,0005 und höchstens 0,0250 Prozent Scillirosid (C32H44O12; M r 620,7), berechnet über Cumarin (C9H6O2; M r 146,1).
Herstellung
Urtinktur und flüssige Verdünnungen nach Vorschrift 3a
Eigenschaften
Die Urtinktur ist eine hellgelbe bis bräunliche Flüssigkeit.
Prüfung auf Identität
Dünnschichtchromatographie (2.2.27)
Untersuchungslösung: 10 ml Urtinktur werden unter vermindertem Druck auf etwa 3 ml eingeengt. Der Rückstand wird mit 20 ml Wasser R und 10 ml Blei(II)-acetat-Lösung R versetzt, die Mischung geschüttelt und nach 5 min zentrifugiert. Der abgetrennte Überstand wird mit 10 ml Natriummonohydrogenphosphat-Lösung R versetzt, die Mischung geschüttelt und nach 5 min zentrifugiert. Der abgetrennte Überstand wird dreimal mit je 30 ml einer Mischung von 5 Volumteilen Ethylacetat R und 1 Volumteil 2-Propanol R ausgeschüttelt und falls erforderlich zentrifugiert. Die vereinigten organischen Phasen werden mit etwa 2 g wasserfreiem Natriumsulfat R getrocknet und filtriert. Das Filtrat wird unter vermindertem Druck zur Trockne eingedampft und der Rückstand in 1 ml Methanol R aufgenommen.
Referenzlösung: 5 mg Lanatosid C R und 5 mg Proscillaridin RH werden in 1 ml einer Mischung gleicher Volumteile Ethylacetat R und Methanol R gelöst.
Platte: DC-Platte mit Kieselgel R (5 bis 40 µm) [oder DC-Platte mit Kieselgel R (2 bis 10 µm)]
Fließmittel: Wasser R, Methanol R, Ethylacetat R (8:11:81 V/V/V)
Auftragen: 30 µl [oder 6 µl] Untersuchungslösung und 10 µl [oder 2 µl] Referenzlösung; bandförmig 20 mm [oder 10 mm]
Laufstrecke: 15 cm [oder 6 cm]
Detektion: Nach Verdunsten des Fließmittels wird die Platte mit Anisaldehyd-Reagenz R behandelt und 5 bis 10 min lang bei 100 bis 105 °C erhitzt. Die Auswertung erfolgt innerhalb von 10 min im ultravioletten Licht bei 365 nm.
Ergebnis: Die Zonenfolge in den Chromatogrammen von Referenzlösung und Untersuchungslösung ist aus den nachstehenden Angaben ersichtlich. Im Chromatogramm der Untersuchungslösung können weitere fluoreszierende Zonen vorhanden sein.

Prüfung auf Reinheit
Drimia maritima (L.) Stearn s. str. weißschalig [Syn.: Urginea maritima (L.) Baker s. str. weißfleischig]: Die unter „Prüfung auf Identität“ erhaltenen Chromatogramme werden ausgewertet. Das Chromatogramm der Untersuchungslösung darf in Höhe der Referenzsubstanz Proscillaridin keine grün bis braun fluoreszierende Zone zeigen, deren Intensität gleich oder stärker als die der Scillirosid-Zone ist.
Relative Dichte (2.2.5): 0,915 bis 0,935
Trockenrückstand (H 2.2.6): mindestens 4,5 Prozent
Gehaltsbestimmung
Flüssigchromatographie (2.2.29)
Untersuchungslösung: die Urtinktur, filtriert durch ein Filter mit einer Porenweite von 0,45 µm
Referenzlösung: 10,0 mg Cumarin CRS werden in Methanol R zu 100,0 ml gelöst.
Säule
- –
-
Größe: l = 0,250 m; Ø = 4,0 mm
- –
-
Stationäre Phase: octadecylsilyliertes Kieselgel zur Chromatographie R (5 µm)
- –
-
Temperatur: 20 °C
Mobile Phase
- –
-
Mobile Phase A: Wasser R
- –
-
Mobile Phase B: Acetonitril R
| Zeit (min) | Mobile Phase A (% V/V) | Mobile Phase B (% V/V) |
|---|---|---|
| 0 – 25 | 74 | 26 |
| 25 – 30 | 74 → 0 | 26 → 100 |
| 30 – 35 | 0 → 74 | 100 → 26 |
| 35 – 45 | 74 | 26 |
Durchflussrate: 1,0 ml · min−1
Detektion: Spektrometer bei 300 nm
Einspritzen: 20 µl
Retentionszeiten
- –
-
Cumarin: etwa 15 min
- –
-
Scillirosid: etwa 18 min
Ergebnis: Das Chromatogramm der Untersuchungslösung kann neben dem Peak des Scillirosids weitere Peaks zeigen.
Eignungsprüfung: Referenzlösung
- –
-
Wiederholpräzision: höchstens 2,0 Prozent relative Standardabweichung für die Fläche des Cumarin-Peaks nach 6-maligem Einspritzen
Der Prozentgehalt (m/m) an Scillirosid, berechnet über Cumarin wird nach folgender Formel berechnet:

| A1 | = | Fläche des Scillirosid-Peaks im Chromatogramm der Untersuchungslösung |
| A2 | = | Fläche des Cumarin-Peaks im Chromatogramm der Referenzlösung |
| m | = | Masse von Cumarin CRS zur Herstellung der Referenzlösung in Milligramm |
| V | = | Verdünnungsvolumen der Referenzlösung Cumarin in Millilitern (hier 100 ml) |
| p | = | Prozentgehalt an Cumarin (C9H6O2) in Cumarin CRS |
| D | = | Absolute Dichte der Urtinktur in Gramm je Milliliter |

Beispielchromatogramm: Untersuchungslösung Drimia maritima Ø
Lagerung
Vor Licht geschützt
Anmerkungen zur Monographie:
- –
-
Prüfung auf Identität: Bei der DC-Methode wird die Formulierung unter „Detektion“ und im DC-Kasten an den aktuellen Wortlaut in vergleichbaren HAB-Monographien angepasst.
- –
-
Arzneiformen, Gehaltsbestimmung: Bei der Urtinktur wird die Gehaltsbestimmung durch eine Grenzwertbestimmung mit Angabe einer Obergrenze ersetzt (siehe unter „Prüfung auf Reinheit“), da im Rahmen von Stabilitätsuntersuchungen eine deutliche Gehaltsabnahme bzw. Instabilität der Cucurbitacine festgestellt wurde.
Luffa operculata
Verwendet werden die getrockneten Früchte von Luffa operculata (L.) Cogn. Sie enthalten mindestens 1,0 Prozent (m/m) Cucurbitacine (Cucurbitacin-D-Glucosid, Cucurbitacin-D, Cucurbitacin-B-Glucosid, Cucurbitacin B, Cucurbitacin E), berechnet als Cucurbitacin E (C32H44O8; M r 556,7) und bezogen auf die getrocknete Droge.
Beschreibung
Die Früchte sind länglich-oval, 70 bis 100 mm lang und 30 bis 50 mm breit. Die äußere, grau gefärbte Fruchtwand hat zahlreiche, stacheltragende Längsrippen. Im darunterliegenden, weitmaschigen, schwammartigen Gewebe befinden sich die Samen in einzelnen, rechtwinklig zur Längsachse der Frucht angeordneten, von dem dünnen, pergamentartigen Endokarp ausgekleideten Fächern. Die etwa 10 mm langen, 5 mm breiten und etwa 2 mm dicken Samen sind flach, schmal elliptisch, am oberen Ende abgerundet, am unteren zum Hilum hin durch die schwach flügelartig ausgebildete Randlinie etwas zugespitzt. Die Samen weisen oberhalb des Hilums beiderseits je zwei halbmondförmige Erhebungen auf. Ihre Oberfläche ist stumpf grauschwarz und heller gesprenkelt.
Mikroskopische Merkmale: Die Epidermiszellen des Perikarps sind in Aufsicht geradwandig polygonal, isodiametrisch bis langgestreckt. Die selten einzeln, häufig in kleinen Gruppen angeordneten, anomocytischen Spaltöffnungen sind von vier bis sechs Nebenzellen umgeben, deren Wände dünner und zum Teil schwach getüpfelt sind. Die Kutikula ist glatt, jedoch zu den Spaltöffnungen hin leicht gestreift. Die derbwandigen, bis vier Zellen hohen, an der Spitze abgerundeten, bis 300 µm langen, am Grund 120 µm breiten Borstenhaare haben eine deutlich gestreifte Kutikula und werden an der Basis von strahlig angeordneten Epidermiszellen umgeben. Vereinzelt finden sich auch 70 µm lange Drüsenhaare mit zweizelligem Stiel und mehrzelligem Köpfchen. Unter der Epidermis liegen eine bis drei Lagen großer, dünnwandiger, im Querschnitt tangential gestreckter Mesokarpzellen. Die anschließende Steinzellschicht aus ein oder zwei Lagen rundlich eckiger, häufig isodiametrischer Steinzellen mit getüpfelter, stark verdickter, verholzter Wand geht über in polygonal abgerundete, zunehmend größere und mehr gestreckte Zellen mit derber, getüpfelter, verholzter Wand und dann in das aus rundlichen, großen, dünnwandigen Zellen bestehende, von Leitbündeln durchzogene Mesokarp. Das schwammartige Gewebe des Mesokarps besteht aus Netzen von knorrigen, getüpfelten, verholzten Fasern und Leitbündeln mit schraubig verdickten Gefäßen und Resten von dünnwandigen Mesokarpzellen. Das Endokarp, das die Samenfächer hautartig umkleidet, besteht aus einer Lage zarter, schmaler, in der Regel gruppenweise paralleler und gegeneinander in wechselnden Richtungen gestreckter Zellen.
Die dünne, aber harte Samenschale umgibt einen Embryo mit zwei dicken, gelblich weißen, ölhaltigen Keimblättern. Die Samenschale wird außen begrenzt von einer bisweilen nicht vollständig erhaltenen, sehr unterschiedlich hohen Schicht, deren Zellen eine dünne, stellenweise dunkelbraune und an anderen Stellen hellere Außenwand besitzen, während die Seitenwände mit zahlreichen, unregelmäßig bügelförmigen, unverholzten Wandverdickungen versehen sind. Darunter folgt eine etwa 3,5 µm breite Lage dünn- und braunwandiger sowie eine ebenso breite Lage hellwandiger Zellen. Die anschließende Lage etwa isodiametrischer, 14 bis 18 µm großer Steinzellen mit getüpfelter Wand ist ebenso verholzt wie die nachfolgende, aus palisadenartig angeordneten, stabförmigen, etwa 150 µm langen und 46 bis 53 µm breiten Zellen bestehende Schicht. Nach innen schließt ein etwa 100 µm breites Schwammparenchym aus rundlichen, etwas fettes Öl enthaltenden Zellen an. Eine einzelne Lage dünnwandiger, etwas tangential gestreckter, etwa 5 µm hoher Zellen begrenzt die Samenschale nach innen. Die von einer unterseits etwa 7 µm, oberseits etwa 15 µm hohen Epidermis umgebenen Keimblätter bestehen aus palisadenartig angeordneten, radial gestreckten, dünnwandigen, reichlich fettes Öl enthaltenden Mesophyllzellen.
Prüfung auf Identität
Dünnschichtchromatographie (2.2.27)
Untersuchungslösung: 1 g pulverisierte Droge (710) wird mit 10 ml Ethanol 70 % R versetzt, die Mischung 2 h lang gerührt und anschließend filtriert.
Referenzlösung: 5 mg Scopoletin R, 50 mg Hydrochinon R und 5 mg Cholesterol R werden in 10 ml Methanol R gelöst.
Platte: DC-Platte mit Kieselgel F254 R (5 bis 40 µm) [oder DC-Platte mit Kieselgel F254 R (2 bis 10 µm)]
Fließmittel: wasserfreie Essigsäure R, Hexan R, Ethylacetat R (5:45:50 V/V/V)
Auftragen: 40 µl [oder 10 µl] Untersuchungslösung und 20 µl [oder 5 µl] Referenzlösung; bandförmig 20 mm [oder 10 mm]
Laufstrecke: 15 cm [oder 6 cm]
Detektion: Nach Verdunsten des Fließmittels wird im ultravioletten Licht bei 254 nm im Chromatogramm der Referenzlösung im unteren Drittel die fluoreszenzmindernde Zone des Scopoletins markiert. Anschließend wird die Platte mit Vanillin-Phosphorsäure-Reagenz RH besprüht und 10 bis 15 min lang bei 105 bis 110 °C erhitzt. Die Auswertung erfolgt innerhalb von 10 min im Tageslicht.
Ergebnis: Die Zonenfolge in den Chromatogrammen von Referenzlösung und Untersuchungslösung ist aus den nachstehenden Angaben ersichtlich. Im Chromatogramm der Untersuchungslösung können weitere Zonen vorhanden sein.

Prüfung auf Reinheit
Fremde Bestandteile (2.8.2): höchstens 2 Prozent
Asche (2.4.16): höchstens 8,0 Prozent
Trocknungsverlust (2.2.32): höchstens 12 Prozent
Gehaltsbestimmung
Flüssigchromatographie (2.2.29)
Untersuchungslösung: 1,000 g Droge (710) wird 10 min lang mit 35 ml einer Mischung von 80 Volumteilen Methanol R und 20 Volumteilen Wasser R unter Rückflusskühlung erhitzt und die Lösung nach dem Abkühlen über Watte in einen 100-ml-Messkolben dekantiert. Der Rückstand wird noch zweimal jeweils 10 min lang mit je 30 ml einer Mischung von 80 Volumteilen Methanol R und 20 Volumteilen Wasser R unter Rückflusskühlung erhitzt, die Lösung nach dem Abkühlen ebenfalls in den 100-ml-Messkolben dekantiert und die vereinigten Lösungen mit einer Mischung von 80 Volumteilen Methanol R und 20 Volumteilen Wasser R zu 100,0 ml aufgefüllt. Nach dem Mischen wird diese Lösung durch ein Membranfilter von 0,45 µm filtriert, wobei ein Vorlauf von 1 ml zu verwerfen ist.
Referenzlösung: Eine 3,00 mg Cucurbitacin E entsprechende Menge Cucurbitacin E RH wird in Methanol R zu 20,0 ml gelöst.
Säule
- –
-
Größe: l = 0,10 m, Ø = 4,6 mm
- –
-
Stationäre Phase: octadecylsilyliertes Kieselgel zur Chromatographie R (2,6 µm)
- –
-
Temperatur: 40 °C
Mobile Phase
- –
-
Mobile Phase A: Wasser zur Chromatographie R
- –
-
Mobile Phase B: Acetonitril zur Chromatographie R
| Zeit (min) | Mobile Phase A (% V/V) | Mobile Phase B (% V/V) |
|---|---|---|
| 0 – 2 | 80 | 20 |
| 2 – 17 | 80 → 40 | 20 → 60 |
| 17 – 18 | 40 → 80 | 60 → 20 |
| 18 – 23 | 80 | 20 |
Durchflussrate: 1,5 ml · min−1
Detektion: Spektrometer bei 230 nm
Einspritzen: 5 µl
Relative Retention (bezogen auf Cucurbitacin E, t R etwa 14 min)
| – | Cucurbitacin-D-Glucosid: | etwa 0,50 |
| – | Cucurbitacin D: | etwa 0,66 |
| – | Cucurbitacin-B-Glucosid: | etwa 0,68 |
| – | Cucurbitacin B: | etwa 0,90 |
Eignungsprüfung
- –
-
Wiederholpräzision: höchstens 2 Prozent relative Standardabweichung der Fläche des Cucurbitacin E-Peaks nach 6 Einspritzungen der Referenzlösung
- –
-
Auflösung: mindestens 1,5 zwischen den Peaks von Cucurbitacin D und Cucurbitacin-B-Glucosid
Der Prozentgehalt (m/m) an Cucurbitacinen, berechnet als Cucurbitacin E wird nach folgender Formel berechnet:

| A1 | = | Summe der Peakflächen der Cucurbitacine im Chromatogramm der Untersuchungslösung |
| A2 | = | Fläche des Cucurbitacin E-Peaks im Chromatogramm der Referenzlösung |
| m1 | = | Einwaage der Droge in Gramm |
| m2 | = | Masse von Cucurbitacin E zur Herstellung der Referenzlösung in Gramm |
| p | = | Prozentgehalt an Cucurbitacin E in Cucurbitacin E RH |
Arzneiformen
Herstellung
Urtinktur aus der pulverisierten Droge (710) und flüssige Verdünnungen nach Vorschrift 4a mit Ethanol 62 % (m/m)
Eigenschaften
Die Urtinktur ist eine gelbe Flüssigkeit.
Prüfung auf Identität
Die Urtinktur gibt die Identitätsreaktion der Droge.
Untersuchungslösung: die Urtinktur
Prüfung auf Reinheit
Relative Dichte (2.2.5): 0,890 bis 0,898
Trockenrückstand (H 2.2.6): mindestens 1,2 Prozent
Cucurbitacine (2.2.29): höchstens 0,30 Prozent Cucurbitacin-D-Glucosid, Cucurbitacin D, Cucurbitacin-B-Glucosid, Cucurbitacin B, Cucurbitacin E, berechnet als Cucurbitacin E
Die Bestimmung erfolgt wie unter „Gehaltsbestimmung“ bei der Droge beschrieben mit folgender Untersuchungslösung:
Untersuchungslösung: 1,000 g Urtinktur wird mit Methanol R zu 10,0 ml verdünnt und durch ein Membranfilter von 0,45 µm filtriert.
Der Prozentgehalt (m/m) an Cucurbitacinen, berechnet als Cucurbitacin E wird nach folgender Formel berechnet:

| A1 | = | Summe der Peakflächen der Cucurbitacine im Chromatogramm der Untersuchungslösung |
| A2 | = | Fläche des Cucurbitacin E-Peaks im Chromatogramm der Referenzlösung |
| m1 | = | Einwaage der Urtinktur in Gramm |
| m2 | = | Masse von Cucurbitacin E zur Herstellung der Referenzlösung in Gramm |
| p | = | Prozentgehalt an Cucurbitacin E in Cucurbitacin E RH |
Lagerung
Vor Licht geschützt
Anmerkungen zur Monographie:
- –
-
Beschreibung: Die Angabe „ohne Geruch“ bei der Droge wird gestrichen.
- –
-
Arzneiformen, Definition: Es wird eine Gehaltsspezifikation auf Gesamtcardenolide aufgenommen (s. auch unter „Gehaltsbestimmung“).
- –
-
Prüfung auf Identität A und B: Die beiden unspezifischen nasschemischen Identitätsreaktionen werden gestrichen.
- –
-
Prüfung auf Identität C: Bei der DC-Methode werden die HPTLC-Bedingungen ergänzt und die Beschreibung der Zonen im Text durch eine schematische Darstellung (DC-Kasten) ersetzt.
- –
-
Prüfung auf Reinheit: Beim Trockenrückstand wird aufgrund der Aufnahme der Gehaltsbestimmung die Obergrenze gestrichen.
- –
-
Gehaltsbestimmung: Es wird eine Gehaltsbestimmungsmethode auf toxische Gesamtcardenolide aufgenommen.
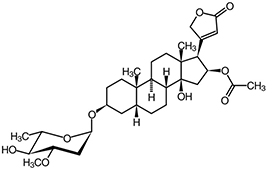
Nerium oleander
Oleander
Verwendet werden die frischen Blätter von Nerium oleander L. vor Beginn der Blütezeit.
Beschreibung
Die Blätter sind ledrig-hartlaubig, am Stiel und beiderseits auf der Spreite spärlich mit kurzen, weißen Haaren besetzt, im Alter zunehmend verkahlend. Der kurze, bis 10 mm lange Blattstiel ist oberseits abgeflacht und trägt dort wenige, große, bräunliche Schuppenhaare. Die Spreite ist lanzettlich, spitz, in der Regel 90 bis 170 mm lang und 20 bis 30 mm breit. Der auf der Oberseite als helle Linie erkennbare Mittelnerv ist auf der Unterseite deutlich hervorgewölbt. Fast senkrecht zur Mittelrippe und in geringem Abstand parallel zueinander verlaufend zweigen zahlreiche Seitennerven ab. Die Blattoberseite ist dunkelgrün, schwach glänzend, die Unterseite ist hellgrün und oft mit dunkler abgesetzten Seitennerven.
Arzneiformen
Die Urtinktur enthält mindestens 0,10 und höchstens 0,30 Prozent Gesamtcardenolide, berechnet als Oleandrin (C32H48O9; M r 576,7).
Herstellung
Urtinktur und flüssige Verdünnungen nach Vorschrift 3a
Eigenschaften
Die Urtinktur ist eine braungrüne Flüssigkeit.
Prüfung auf Identität
Dünnschichtchromatographie (2.2.27)
Untersuchungslösung: die Urtinktur
Referenzlösung: 5 mg Lanatosid C R und 5 mg Digitoxin R werden in 1 ml Methanol R gelöst.
Platte: DC-Platte mit Kieselgel R (5 bis 40 µm) [oder DC-Platte mit Kieselgel R (2 bis 10 µm)]
Fließmittel: Wasser R, Methanol R, Ethylacetat R (8:11:81 V/V/V)
Auftragen: 100 µl [oder 10 µl] Untersuchungslösung und 10 µl [oder 1 µl] Referenzlösung; bandförmig 20 mm [oder 10 mm]
Laufstrecke: 15 cm [oder 6 cm]
Detektion: Nach Verdunsten des Fließmittels wird die Platte mit einer Mischung von 2 Volumteilen einer frisch hergestellten Lösung von Chloramin T R (30 g · l−1) und 8 Volumteilen einer Lösung von Trichloressigsäure R (250 g · l−1) in Ethanol 96 % R behandelt und 5 bis 10 min lang bei 100 bis 105 °C erhitzt. Die Auswertung erfolgt sofort im ultravioletten Licht bei 365 nm.
Ergebnis: Die Zonenfolge in den Chromatogrammen von Referenzlösung und Untersuchungslösung ist aus den nachstehenden Angaben ersichtlich. Im Chromatogramm der Untersuchungslösung können weitere fluoreszierende Zonen vorhanden sein.

Prüfung auf Reinheit
Relative Dichte (2.2.5): 0,900 bis 0,920
Trockenrückstand (H 2.2.6): mindestens 4,0 Prozent
Gehaltsbestimmung
Flüssigchromatographie (2.2.29)
Untersuchungslösung: 1,00 g Urtinktur werden in Ethanol 70 % R zu 10,0 ml verdünnt.
Referenzlösung: 4,0 mg Oleandrin RH werden in Ethanol 70 % R zu 20,0 ml gelöst.
1,0 ml der Lösung wird mit Ethanol 70 % R zu 5,0 ml verdünnt.
Säule
- –
-
Größe: l = 0,15 m, Ø = 4,6 mm
- –
-
Stationäre Phase: nachsilanisiertes, octadecylsilyliertes Kieselgel zur Chromatographie mit festem Kern R (5 μm)6
- –
-
Temperatur: 25 °C
Mobile Phase
- –
-
Mobile Phase A: Trifluoressigsäure R, Wasser R (0,1:99,9 V/V)
- –
-
Mobile Phase B: Methanol R, Acetonitril R (30:70 V/V)
| Zeit (min) | Mobile Phase A (% V/V) | Mobile Phase B (% V/V) |
|---|---|---|
| 0 – 2,4 | 60 ≥ 55 | 40 ≥ 45 |
| 2,4 – 8,4 | 55 ≥ 45 | 45 ≥ 55 |
| 8,4 – 15 | 45 ≥ 10 | 55 ≥ 90 |
| 15 – 21 | 10 ≥ 5 | 90 ≥ 95 |
| 21 – 23 | 5 ≥ 60 | 95 ≥ 40 |
| 23 – 30 | 60 | 40 |
Durchflussrate: 0,9 ml · min–1
Detektion: Spektrometer bei 220 nm
Einspritzen: 10 μl
Relative Retention (bezogen auf Oleandrin, t R etwa 10 min)
| – | Cardenolid I: | etwa | 0,95 |
| – | Cardenolid II (Oleandrin): | 1,0 | |
| – | Cardenolid III: | etwa | 1,03 |
| – | Cardenolid IV: | etwa | 1,07 |
| – | Cardenolid V: | etwa | 1,10 |
| – | Cardenolid VI: | etwa | 1,15 |
Eignungsprüfung:
Wiederholpräzision: höchstens 2,0 Prozent relative Standardabweichung für die Fläche des Oleandrin-Peaks nach 6 Einspritzungen der Referenzlösung
Der Prozentgehalt (m/m) an Gesamtcardenoliden, berechnet als Oleandrin wird nach folgender Formel berechnet:

| m1 | = | Einwaage der Urtinktur in Gramm |
| m2 | = | Masse von Oleandrin RH in der Referenzlösung in Gramm |
| A1 | = | Summe der Peakflächen der Cardenolide I-VI im Chromatogramm der Untersuchungslösung |
| A2 | = | Fläche des Oleandrin-Peaks im Chromatogramm der Referenzlösung |
| p | = | Prozentgehalt an Oleandrin in Oleandrin RH |

Beispielchromatogramm der Untersuchungslösung für Nerium oleander Ø
Lagerung
Vor Licht geschützt
Anmerkung zur Monographie:
Gehaltsbestimmung: Die Gehaltsbestimmung wird durch eine Grenzwertbestimmung mit Angabe einer Obergrenze ersetzt (siehe unter „Prüfung auf Reinheit“), da im Rahmen von Stabilitätsuntersuchungen eine deutliche Gehaltsabnahme bzw. Instabilität von Protoanemonin festgestellt wurde.
Pulsatilla pratensis
Pulsatilla
Verwendet werden die frischen ganzen Pflanzen von Pulsatilla pratensis (L.) Mill. zur Blütezeit.
Beschreibung
Von dem ein- bis mehrköpfigen, hellbraunen, mehr oder weniger stielrunden, holzigen und teilweise von den Resten alter Blattstiele bedeckten Wurzelstock gehen mehrere, in der Regel fünf oder sechs 1 bis 3 mm dicke, hellbraune Wurzeln ab, die dicht mit dunkelbraunen, fadenförmigen, etwa 0,5 mm dicken Seitenwurzeln besetzt sind.
Die grundständigen Laubblätter erscheinen schon vor der Blüte, sind aber zu dieser Zeit noch nicht voll ausgebildet. Die zugespitzten, in eine haarförmige Spitze auslaufenden Endlappen der dreifach fiederspaltigen Blattspreite sind schmal-lineal, 1 bis 3 mm breit und wie die Blattstiele weißzottig behaart. Die an dem verzweigten Wurzelstock entspringenden 100 bis 300 mm hohen Stängel sind dicht weiß behaart, einblütig. Sie tragen im oberen Drittel eine weiß behaarte Hochblatthülle, die aus drei fiederteiligen Hochblättern besteht, deren Blattlappen in lange, schmale Zipfel unterteilt sind.
Die Blütenhülle der glockenförmigen, in der Regel nickenden Blüte besteht aus sechs in zwei Kreisen angeordneten, eiförmigen, hellschwarzvioletten, 15 bis 30 mm, gelegentlich bis 40 mm langen, außen seidig weiß behaarten Perigonblättern mit nach außen gebogener Spitze. Die zahlreichen Staubblätter sind deutlich – etwa ein Drittel – kürzer als die Perigonblätter und haben gelbe Staubbeutel. Die zahlreichen länglichen Fruchtknoten ragen mit ihren fein zottig behaarten Griffeln, vor allem mit den violetten Narben, über die Staubblätter hinaus.
Arzneiformen
Herstellung
Urtinktur und flüssige Verdünnungen nach Vorschrift 3a
Eigenschaften
Die Urtinktur ist eine bräunlich gelbe Flüssigkeit.
Prüfung auf Identität
Dünnschichtchromatographie (2.2.27)
Untersuchungslösung: die Urtinktur
Referenzlösung: 10 mg Rutosid-Trihydrat R und 10 mg Hyperosid R werden in 20 ml Methanol R gelöst.
Platte: DC-Platte mit Kieselgel R (5 bis 40 µm) [oder DC-Platte mit Kieselgel R (2 bis 10 µm)]
Fließmittel: Ameisensäure R, Essigsäure 99 % R, Wasser R, Ethylacetat R (7,5:7,5:18:67 V/V/V/V)
Auftragen: 20 µl [oder 10 µl]; bandförmig 20 mm [oder 10 mm]
Laufstrecke: 10 cm [oder 5 cm]
Trocknen: an der Luft
Detektion: Die Platte wird mit Anisaldehyd-Reagenz R besprüht und 5 bis 10 min lang bei 100 bis 105 °C erhitzt. Die Auswertung erfolgt sofort im Tageslicht.
Ergebnis: Die Zonenfolge in den Chromatogrammen von Referenzlösung und Untersuchungslösung ist aus den nachstehenden Angaben ersichtlich. Im Chromatogramm der Untersuchungslösung können weitere Zonen vorhanden sein.

Prüfung auf Reinheit
Relative Dichte (2.2.5): 0,900 bis 0,920
Trockenrückstand (H 2.2.6): mindestens 1,3 Prozent
Protoanemonin (2.2.29): höchstens 0,13 Prozent (m/m) Protoanemonin (C5H4O2; M r 96,1), berechnet als Anemonin (C10H8O4; M r 192,2)
Die Gehaltsbestimmung muss unter Ausschluss von direktem Licht und unter Verwendung von Braunglas erfolgen.
Untersuchungslösung: 1,000 g Urtinktur wird in einer Mischung von Acetonitril R und Wasser R (1:1 V/V) zu 10,0 ml gelöst.
Referenzlösung a: 6,0 mg Anemonin RH werden in einer Mischung von Acetonitril R und Wasser R (1:1 V/V) zu 10,0 ml gelöst. 1,0 ml Lösung wird mit der gleichen Lösungsmittelmischung zu 10,0 ml verdünnt.
Referenzlösung b: 2,0 ml Untersuchungslösung und 2,0 ml Referenzlösung a werden gemischt.
Säule
- –
-
Größe: l = 0,15 m, Ø = 4,6 mm
- –
-
Stationäre Phase: octadecylsilyliertes Kieselgel zur Chromatographie R (2,7 µm)
- –
-
Temperatur: 45 °C
Mobile Phase
- –
-
Mobile Phase A: Wasser R, mit Phosphorsäure 85 % R auf einen pH-Wert von 2,0 eingestellt
- –
-
Mobile Phase B: Acetonitril R, Wasser R (90:10 V/V)
| Zeit (min) | Mobile Phase A (% V/V) | Mobile Phase B (% V/V) |
|---|---|---|
| 0 – 2 | 95 | 5 |
| 2 – 14 | 95 → 72 | 5 → 28 |
| 14 – 17 | 72 → 20 | 28 → 80 |
| 17 – 18 | 20 → 95 | 80 → 5 |
| 18 – 32 | 95 | 5 |
Durchflussrate: 0,8 ml · min−1
Detektion: Spektrometer (mit variabler Wellenlänge) bei 207 nm (Anemonin) und 261 nm (Protoanemonin)
Einspritzen: 10 µl; Untersuchungslösung, Referenzlösung a
Relative Retention (bezogen auf Anemonin, t R etwa 9 min)
- –
-
Protoanemonin: etwa 0,7
Eignungsprüfung: Referenzlösung b
- –
-
Auflösung: mindestens 5,0 zwischen den Peaks von Protoanemonin und Anemonin
Der Prozentgehalt (m/m) an Protoanemonin, berechnet als Anemonin wird nach folgender Formel berechnet:

| A1 | = | Fläche des Protoanemonin-Peaks im Chromatogramm der Untersuchungslösung bei 261 nm |
| A2 | = | Fläche des Anemonin-Peaks im Chromatogramm der Referenzlösung a bei 207 nm |
| m1 | = | Einwaage der Urtinktur in Gramm |
| m2 | = | Masse der Referenzsubstanz Anemonin RH in Gramm |
| p | = | Prozentgehalt an Anemonin in der Referenzsubstanz Anemonin RH |
Lagerung
Vor Licht geschützt
Anmerkungen zur Monographie:
- –
-
Definition: Der wissenschaftliche Pflanzenname wird auf den aktuell gültigen Namen gemäß der Datenbank „Medicinal Plant Names Services“ (MPNS) geändert und die Monographie-Titel werden entsprechend angepasst.
- –
-
Gehaltsbestimmung: Die Gehaltsbestimmung wird durch eine Grenzwertbestimmung mit Angabe einer Obergrenze ersetzt (siehe unter „Prüfung auf Reinheit“), da im Rahmen von Stabilitätsuntersuchungen eine deutliche Gehaltsabnahme bzw. Instabilität von Protoanemonin festgestellt wurde.
Pulsatilla vulgaris
Anemone pulsatilla7
Verwendet werden die frischen ganzen Pflanzen von Pulsatilla vulgaris Mill. zur Blütezeit.
Beschreibung
Die Blüten haben einen honigartigen Geruch.
Die sommergrünen, ausdauernden, bis zu 0,4 m hohen Pflanzen besitzen einen aufsteigenden oder senkrechten, spindelförmigen, 10 bis 18 mm dicken, hellbraunen, in der Regel mehrköpfigen Wurzelstock mit wenigen kräftigen Seitenwurzeln. Wurzelstock und Wurzeln sind lückenlos mit schwarzbraunen, dünnen, verzweigten, 200 bis 300 mm langen, drahtartigen Wurzeln besetzt.
Die einzelnen Köpfe tragen wenigblättrige, bodenständige Blattrosetten und aufrechte, einblütige Infloreszenzstiele. Sie sind am Grund von schwarzen, abgestorbenen Blättern des Vorjahres umgeben, denen nach innen schmal- bis breit-dreieckige, am Rand gewimperte, etwa 20 bis 30 mm lange Niederblätter folgen, die durch Ausbildung von Stiel- und Spreitenteil gleitend in die normalen, zur Blütezeit noch kaum entfalteten Laubblätter übergehen. Diese sind aus breitem, etwa halb Stängel umfassendem Grund dünn gestielt und besitzen in der Regel fünf bis sieben, gelegentlich drei oder vier unpaare Fiedern, die in zahlreiche lineale Zipfel zerteilt sind, die an der Spitze eine haarartige Granne tragen. Blattstiele und -spreiten sind an der Unterseite mehr oder weniger locker seidig weiß behaart.
Die 5 bis 7 mm dicken, silberweiß behaarten Infloreszenzstiele tragen einen Wirtel aus drei oft mehr oder weniger verwachsenen, in je drei bis elf lineale Zipfel geteilten, sitzenden Hochblättern, der den noch kurzen Blütenstiel und die Knospe anfangs fest umschließt. Beide Stängelteile wachsen bis zur Fruchtreife weiter, so dass der Hochblattwirtel später unterhalb der Mitte des gesamten Stängels stehen kann.
Die ansehnlichen, glockenförmigen Blüten stehen aufrecht oder nicken leicht. Ihre in der Regel sechs, gelegentlich bis acht außen grauvioletten, behaarten, innen leuchtend violetten und kahlen, länglich elliptischen, zugespitzten Perigonblätter werden 10 bis 25 mm breit und 30 bis 40 mm lang. Im Blüteninneren finden sich zahlreiche, in der Regel mehr als 100 leuchtend gelbe Staubblätter in dichter, halbkugelförmiger oder kurz walzlicher Anordnung, die höchstens halb so lang sind wie die Blütenhülle. Zahlreiche freistehende, durch Griffel und Staubblätter vollkommen verhüllte Fruchtknoten tragen dünne, grüne, zu einem kegelförmigen Büschel zusammenneigende, anfangs die Staubblätter kaum überragende Griffel mit violetten, leicht auswärts gebogenen Spitzen, die an den Früchten verbleiben und zu langen Grannen auswachsen.
Arzneiformen
Herstellung
Urtinktur und flüssige Verdünnungen nach Vorschrift 3a
Eigenschaften
Die Urtinktur ist eine gelbgrüne bis olivgrüne Flüssigkeit.
Prüfung auf Identität
Dünnschichtchromatographie (2.2.27)
Untersuchungslösung: die Urtinktur
Referenzlösung: 10 mg Rutosid-Trihydrat R und 10 mg Gallussäure R werden in 10 ml Methanol R gelöst.
Platte: DC-Platte mit Kieselgel R (5 bis 40 µm) [oder DC-Platte mit Kieselgel R (2 bis 10 µm)]
Fließmittel: Essigsäure 99 % R, Wasser R, 1-Butanol R (17,5:17,5:65 V/V/V)
Auftragen: 20 µl [oder 5 µl] Untersuchungslösung und 10 µl [oder 3 µl] Referenzlösung; bandförmig 20 mm [oder 10 mm]
Laufstrecke: 10 cm [oder 6 cm]
Trocknen: bei 100 bis 105 °C
Detektion: Die noch warme Platte wird zunächst mit einer Lösung von Diphenylboryloxyethylamin R (10 g · l−1) in Methanol R, anschließend mit einer Lösung von Macrogol 400 R (50 g · l−1) in Methanol R besprüht. Die Auswertung erfolgt nach 30 min im ultravioletten Licht bei 365 nm.
Ergebnis: Die Zonenfolge in den Chromatogrammen von Referenzlösung und Untersuchungslösung ist aus den nachstehenden Angaben ersichtlich. Im Chromatogramm der Untersuchungslösung können weitere fluoreszierende Zonen vorhanden sein.

Prüfung auf Reinheit
Relative Dichte (2.2.5): 0,900 bis 0,920
Trockenrückstand (H 2.2.6): mindestens 2,2 Prozent
Protoanemonin (2.2.29): höchstens 0,15 Prozent (m/m) Protoanemonin (C5H4O2; M r 96,1), berechnet als Anemonin (C10H8O4; M r 192,2)
Die Bestimmung muss unter Ausschluss von direktem Licht und unter Verwendung von Braunglas erfolgen.
Untersuchungslösung: 1,000 g Urtinktur wird in einer Mischung von Acetonitril R und Wasser R (1:1 V/V) zu 10,0 ml gelöst.
Referenzlösung a: 6,0 mg Anemonin RH werden in einer Mischung von Acetonitril R und Wasser R (1:1 V/V) zu 10,0 ml gelöst. 1,0 ml Lösung wird mit der gleichen Lösungsmittelmischung zu 10,0 ml verdünnt.
Referenzlösung b: 2,0 ml Untersuchungslösung und 2,0 ml Referenzlösung a werden gemischt.
Säule
- –
-
Größe: l = 0,15 m, Ø = 4,6 mm
- –
-
Stationäre Phase: octadecylsilyliertes Kieselgel zur Chromatographie R (2,7 µm)
- –
-
Temperatur: 45 °C
Mobile Phase
- –
-
Mobile Phase A: Wasser R, mit Phosphorsäure 85 % R auf einen pH-Wert von 2,0 eingestellt
- –
-
Mobile Phase B: Acetonitril R, Wasser R (90:10 V/V)
| Zeit (min) | Mobile Phase A (% V/V) | Mobile Phase B (% V/V) |
|---|---|---|
| 0 – 2 | 95 | 5 |
| 2 – 14 | 95 → 72 | 5 → 28 |
| 14 – 17 | 72 → 20 | 28 → 80 |
| 17 – 18 | 20 → 95 | 80 → 5 |
| 18 – 32 | 95 | 5 |
Durchflussrate: 0,8 ml · min−1
Detektion: Spektrometer (mit variabler Wellenlänge) bei 207 nm (Anemonin) und 261 nm (Protoanemonin)
Einspritzen: 10 µl; Untersuchungslösung, Referenzlösung a
Relative Retention (bezogen auf Anemonin, t R etwa 9 min)
- –
-
Protoanemonin: etwa 0,7
Eignungsprüfung: Referenzlösung b
- –
-
Auflösung: mindestens 5,0 zwischen den Peaks von Protoanemonin und Anemonin
Der Prozentgehalt (m/m) an Protoanemonin, berechnet als Anemonin wird nach folgender Formel berechnet:

| A1 | = | Fläche des Protoanemonin-Peaks im Chromatogramm der Untersuchungslösung bei 261 nm |
| A2 | = | Fläche des Anemonin-Peaks im Chromatogramm der Referenzlösung a bei 207 nm |
| m1 | = | Einwaage der Urtinktur in Gramm |
| m2 | = | Masse der Referenzsubstanz Anemonin RH in Gramm |
| p | = | Prozentgehalt an Anemonin in der Referenzsubstanz Anemonin RH |
Lagerung
Vor Licht geschützt
Anmerkung zur Monographie:
Die Gehaltsbestimmung wird durch eine Grenzwertbestimmung mit Angabe einer Obergrenze ersetzt (siehe unter „Prüfung auf Reinheit“), da im Rahmen von Stabilitätsuntersuchungen eine deutliche Gehaltsabnahme bzw. Instabilität von Protoanemonin festgestellt wurde.
Ranunculus bulbosus
Verwendet werden die frischen ganzen Pflanzen von Ranunculus bulbosus L. zur Blütezeit.
Beschreibung
Aus einer unterirdischen, in der Regel 6 bis 15 mm, ausnahmsweise auch bis 45 mm dicken Sprossknolle mit teilweise fleischigen Wurzeln entwickelt sich mit verdicktem Stängelgrund ein krautiger, aufrechter oder aufsteigender, wenig verzweigter Stängel von 200 bis 400 mm, selten bis 500 mm Höhe. Ausläufer werden nicht gebildet. Der Stängel ist gefurcht oder glatt, unten abstehend, oben anliegend behaart.
Die langstieligen Grundblätter von eiförmigem Umriss sind bis zum Grund der Spreite dreizählig eingeschnitten; alle drei Blattabschnitte sind ihrerseits tief dreispaltig bis dreiteilig unregelmäßig gesägt-gelappt, der mittlere Blattabschnitt ist in der Regel deutlich gestielt. Die unteren Stängelblätter gleichen bis auf den kürzeren Blattstiel den Grundblättern, die mittleren und oberen Blätter sind zunehmend einfacher, weniger geteilt, mit schmaleren, fast lanzettlichen Abschnitten. Alle Blätter sind mehr oder weniger stark behaart, nur ausnahmsweise kahl.
Die leuchtend hellgelben Blüten stehen aufrecht an fein behaarten, gefurchten Blütenstielen und haben einen Durchmesser von 15 bis 30 mm. Die fünf eiförmigen, spitzen, außen zottig behaarten, gelbgrünen Kelchblätter sind gegen den Stängel zurückgeschlagen. Die fünf rundlich-eiförmigen, glänzenden, 6 bis 22 mm langen Kronblätter, deren Basis eine bedeckte Honiggrube aufweist, sind länger als die Kelchblätter. Im Zentrum des kugeligen, behaarten Blütenbodens befinden sich zahlreiche freie Staub- und Fruchtblätter.
Arzneiformen
Herstellung
Urtinktur und flüssige Verdünnungen nach Vorschrift 3a
Eigenschaften
Die Urtinktur ist eine grünlich gelbe bis gelbbraune Flüssigkeit.
Prüfung auf Identität
Dünnschichtchromatographie (2.2.27)
Untersuchungslösung: die Urtinktur
Referenzlösung: 10 mg Procainhydrochlorid R, 5 mg Chininhydrochlorid R und 30 mg Gallussäure R werden in 10 ml Methanol R gelöst.
Platte: DC-Platte mit Kieselgel R
Fließmittel: Essigsäure 99 % R, Wasser R, 1-Butanol R (16:16:68 V/V/V)
Auftragen: 40 µl Untersuchungslösung und 10 µl Referenzlösung; bandförmig 20 mm
Laufstrecke: 10 cm
Trocknen: 10 min lang bei 105 bis 110 °C
Detektion: Die noch warme Platte wird mit einer Lösung von Diphenylboryloxyethylamin R (10 g · l−1) in Methanol R und anschließend mit einer Lösung von Macrogol 400 R (50 g · l−1) in Methanol R besprüht. Die Auswertung erfolgt nach 30 min im ultravioletten Licht bei 365 nm.
Ergebnis: Die Zonenfolge in den Chromatogrammen von Referenzlösung und Untersuchungslösung ist aus den nachstehenden Angaben ersichtlich. Im Chromatogramm der Untersuchungslösung können weitere fluoreszierende Zonen vorhanden sein.

Prüfung auf Reinheit
Relative Dichte (2.2.5): 0,900 bis 0,920
Trockenrückstand (H 2.2.6): mindestens 1,5 Prozent
Protoanemonin (2.2.29): höchstens 0,15 Prozent Protoanemonin (C5H4O2; M r 96,1), berechnet als Anemonin (C10H8O4; M r 192,2)
Die Bestimmung muss unter Ausschluss von direktem Licht und unter Verwendung von Braunglas erfolgen.
Untersuchungslösung: 1,000 g Urtinktur wird in einer Mischung von Acetonitril R und Wasser R (1:1 V/V) zu 10,0 ml gelöst.
Referenzlösung a: 6,0 mg Anemonin RH werden in einer Mischung von Acetonitril R und Wasser R (1:1 V/V) zu 10,0 ml gelöst. 1,0 ml Lösung wird mit der gleichen Lösungsmittelmischung zu 10,0 ml verdünnt.
Referenzlösung b: 2,0 ml Untersuchungslösung und 2,0 ml Referenzlösung a werden gemischt.
Säule
- –
-
Größe: l = 0,15 m, Ø = 4,6 mm
- –
-
Stationäre Phase: octadecylsilyliertes Kieselgel zur Chromatographie R (2,7 µm)
- –
-
Temperatur: 45 °C
Mobile Phase
- –
-
Mobile Phase A: Wasser R, mit Phosphorsäure 85 % R auf einen pH-Wert von 2,0 eingestellt
- –
-
Mobile Phase B: Acetonitril R, Wasser R (90:10 V/V)
| Zeit (min) | Mobile Phase A (% V/V) | Mobile Phase B (% V/V) |
|---|---|---|
| 0 – 2 | 95 | 5 |
| 2 – 14 | 95 → 72 | 5 → 28 |
| 14 – 17 | 72 → 20 | 28 → 80 |
| 17 – 18 | 20 → 95 | 80 → 5 |
| 18 – 32 | 95 | 5 |
Durchflussrate: 0,8 ml · min–1
Detektion: Spektrometer (mit variabler Wellenlänge) bei 207 nm (Anemonin) und 261 nm (Protoanemonin)
Einspritzen: 10 µl; Untersuchungslösung, Referenzlösung a
Relative Retention (bezogen auf Anemonin, t R etwa 9 min)
- –
-
Protoanemonin: etwa 0,7
Eignungsprüfung: Referenzlösung b
- –
-
Auflösung: mindestens 5,0 zwischen den Peaks von Protoanemonin und Anemonin
Der Prozentgehalt (m/m) an Protoanemonin, berechnet als Anemonin wird nach folgender Formel berechnet:

| A1 | = | Fläche des Protoanemonin-Peaks im Chromatogramm der Untersuchungslösung bei 261 nm |
| A2 | = | Fläche des Anemonin-Peaks im Chromatogramm der Referenzlösung a bei 207 nm |
| m1 | = | Einwaage der Urtinktur in Gramm |
| m2 | = | Masse der Referenzsubstanz Anemonin RH in Gramm |
| p | = | Prozentgehalt an Anemonin in der Referenzsubstanz Anemonin RH |
Lagerung
Vor Licht geschützt
Anmerkung zur Monographie:
Die relative Dichte wird aufgrund der vorgelegten Chargendaten auf 0,905 bis 0,925 geändert.
Thuja occidentalis
Thuja
Verwendet werden die frischen, beblätterten, einjährigen Zweige von Thuja occidentalis L.
Beschreibung
Die frischen Blätter entwickeln beim Zerreiben einen sehr starken, balsamischen Geruch.
Die einjährigen Zweige sind noch krautig und sehr schwach verholzt, vielfach verästelt. Sie tragen kleine, 4-zeilig angeordnete, schuppenförmige und angedrückte Blätter. Die Blätter sind an jungen Bäumen schmal linealisch, an älteren breit, dreieckig, anliegend, dachziegelig angeordnet, auf der Unterseite nicht oder wenig vertieft, heller, ohne weißliche Spaltöffnungslinien. Die Flächenblätter (Mittelblätter) der Ober- und Unterseite tragen auf dem Rücken eine Harzdrüse. Diese Drüse fehlt den Kantenblättern. Die beblätterten Zweige sind auf der Oberseite dunkelgrün, auf der Unterseite bedeutend heller.
An den Enden der Zweige können sehr kleine, kugelige bis ovale, zapfenartige, bräunlich gelbe männliche Blüten oder gelbgrüne weibliche Blüten stehen.
Arzneiformen
Die Urtinktur enthält mindestens 0,10 und höchstens 0,50 Prozent (m/m) Gesamt-Thujon, berechnet als α-Thujon (C10H16O; Mr 152,2).
Herstellung
Urtinktur und flüssige Verdünnungen nach Vorschrift 3a
Eigenschaften
Die Urtinktur ist eine grünliche bis grünbraune Flüssigkeit.
Prüfung auf Identität
Dünnschichtchromatographie (2.2.27)
Untersuchungslösung: die Urtinktur
Referenzlösung: 10 mg Borneol R und 10 µl Thujon R werden in 10 ml Methanol R gelöst.
Platte: DC-Platte mit Kieselgel R
Fließmittel: Diisopropylether R, Toluol R (20:80 V/V)
Auftragen: 10 µl; bandförmig 20 mm
Laufstrecke: 10 cm
Detektion: Nach Verdunsten des Fließmittels wird die Platte mit ethanolischer Molybdatophosphorsäure-Lösung RH behandelt und 5 bis 10 min lang bei 100 bis 105 °C erhitzt. Die Auswertung erfolgt im Tageslicht.
Ergebnis: Die Zonenfolge in den Chromatogrammen von Referenzlösung und Untersuchungslösung ist aus den nachstehenden Angaben ersichtlich. Im Chromatogramm der Untersuchungslösung können weitere Zonen vorhanden sein.

Prüfung auf Reinheit
Relative Dichte (2.2.5): 0,905 bis 0,925
Trockenrückstand (H 2.2.6): mindestens 3,5 Prozent
Gehaltsbestimmung
Gaschromatographie (2.2.28)
Interner-Standard-Lösung: 100,0 mg Car-3-en R werden in Ethanol 96 % R zu 100,0 ml gelöst.
Untersuchungslösung: 0,50 g Urtinktur werden mit 1,0 ml Interner-Standard-Lösung versetzt und mit Ethanol 96 % R zu 10,0 ml verdünnt.
Referenzlösung: 10,0 mg (–)-α-Thujon RH werden in Ethanol 96 % R zu 20,0 ml gelöst. 3,0 ml Lösung und 1,0 ml Interner-Standard-Lösung werden mit Ethanol 96 % R zu 10,0 ml verdünnt.
Säule
- –
-
Material: Quarzglas
- –
-
Größe: l = 30 m, Ø = 0,25 mm
- –
-
Stationäre Phase: Polydimethylsiloxan R (Filmdicke 0,25 µm)
Trägergas: Helium zur Chromatographie R
Durchflussrate: 1,0 ml · min−1
Splitverhältnis: 1:25
Temperatur
| Zeit (min) | Temperatur (°C) | |
|---|---|---|
| Säule | 0 – 10 | 80 |
| 10 – 15 | 80 → 100 | |
| 15 – 16 | 100 | |
| 16 – 21 | 100 → 240 | |
| 21 – 31 | 240 | |
| Probeneinlass | 250 | |
| Detektor | 250 |
Detektion: Flammenionisation
Einspritzen: 1 µl
Relative Retention (bezogen auf α-Thujon, tR etwa 10 min)
- –
-
Car-3-en: etwa 0,65
- –
-
β-Thujon: etwa 1,05
Eignungsprüfung
- –
-
Wiederholpräzision: höchstens 2,0 Prozent relative Standardabweichung für das Flächenverhältnis des α-Thujon-Peaks zum Peak des internen Standards nach 6-maligem Einspritzen der Referenzlösung
Der Prozentgehalt (m/m) an Gesamt-Thujon (die Summe von α- und β-Thujon), berechnet als α-Thujon wird nach folgender Formel berechnet:

| A1 | = | Summe der Flächen der α- und β-Thujon-Peaks im Chromatogramm der Untersuchungslösung |
| A2 | = | Fläche des α-Thujon-Peaks im Chromatogramm der Referenzlösung |
| A3 | = | Fläche des Car-3-en-Peaks im Chromatogramm der Untersuchungslösung |
| A4 | = | Fläche des Car-3–Peaks im Chromatogramm der Referenzlösung |
| m1 | = | Einwaage der Urtinktur in Gramm |
| m2 | = | Masse der Referenzsubstanz (−)-α-Thujon RH in Gramm |
| p | = | Prozentgehalt an α-Thujon in der Referenzsubstanz (−)-α-Thujon RH |
Lagerung
Vor Licht geschützt
Revidierte Reagenzienbeschreibung
Anmerkung zur Monographie:
Das Reagenz wird als Gehaltsstandard für die HAB-Monographie „Nerium oleander (Oleander)“ etabliert.
Oleandrin RH

| C32H48O9 CAS Nr. 465-16-7 |
M r 576,7 |
14β-Acetyloxy-3β-(2,6-didesoxy-3-O-methyl-α-L-arabino-hexopyranosyloxy)-16β-hydroxy-5β-card-20(22)-enolid
Eigenschaften
Weiße Kristalle oder kristallines Pulver; praktisch unlöslich in Wasser, löslich in Chloroform, wenig löslich in Ethanol 96 %
Prüfung auf Identität
Schmelztemperatur (2.2.14): etwa 260 °C
oder
IR-Spektroskopie (2.2.24): Das IR-Spektrum entspricht dem Referenzspektrum (siehe Abbildung).

Abb.: IR-Referenzspektrum von Oleandrin
Wird die Substanz in der Gehaltsbestimmung verwendet, muss sie zusätzlich folgenden Anforderungen entsprechen:
Prüfung auf Reinheit
Wasser (2.5.32): höchstens 5,0 Prozent, mit 10,0 mg Substanz bestimmt
Lösungsmittel-Rückstände (2.2.28): höchstens 1,0 Prozent
Chromatographische Reinheit: Die Bestimmung erfolgt mit Hilfe der Flüssigchromatographie (2.2.29).
Untersuchungslösung: 10,0 mg Substanz werden zu 100,0 ml in einer Mischung von 20 Volumteilen Wasser R und 80 Volumteilen Acetonitril zur Chromatographie R gelöst.
Säule
- –
-
Größe: l = 0,150 m, Ø = 4,6 mm
- –
-
Stationäre Phase: octadecylsilyliertes Kieselgel zur Chromatographie R (3 μm)
- –
-
Temperatur: 30 °C
Mobile Phase
- –
-
Mobile Phase A: eine Mischung aus 90 Volumteilen Wasser R und 10 Volumteilen Acetonitril zur Chromatographie R
- –
-
Mobile Phase B: eine Mischung aus 20 Volumteilen Wasser R und 80 Volumteilen Acetonitril zur Chromatographie R
| Zeit (min) | Mobile Phase A (% V/V) | Mobile Phase B (% V/V) |
|---|---|---|
| 0 – 10 | 100 ≥ 86 | 0 ≥ 14 |
| 10 – 15 | 86 ≥ 82 | 14 ≥ 18 |
| 15 – 23 | 82 ≥ 50 | 18 ≥ 50 |
| 23 – 33 | 50 ≥ 0 | 50 ≥ 100 |
| 33 – 40 | 0 | 100 |
Durchflussrate: 0,8 ml · min–1
Detektion: Spektrometer bei 220 nm
Einspritzen: 10 μl
Die chromatographische Reinheit, berechnet mit Hilfe des Verfahrens „Normalisierung“ (2.2.46), muss mindestens 95 Prozent betragen.
Gehaltsbestimmung
Der Gehalt wird unter Berücksichtigung des Wassergehalts und der Lösungsmittel-Rückstände sowie der chromatographischen Reinheit nach folgender Formel berechnet:

| A | = | Gehalt an Wasser (2.5.32) in Prozent |
| B | = | Gehalt an Lösungsmittel-Rückständen (2.2.28) in Prozent |
| C | = | Chromatographische Reinheit (2.2.29) in Prozent |
- 1
- Bisheriger wissenschaftlicher Name
- 2
- Traditioneller homöopathischer Name
- 3
- geeignet ist z. B. eine Oasis MCX 3cc 60 mg, 30 μm, Fa. Waters
- 4
- Bisheriger wissenschaftlicher Name
- 5
- Traditioneller homöopathischer Name
- 6
- geeignet ist z. B. eine Kinetex C18 der Fa. Phenomenex
- 7
- Bisheriger wissenschaftlicher Name
Kommentar hinterlassen