Bundesministerium
für Ernährung und Landwirtschaft
Richtlinie
zur Förderung der Einstellung der Fangtätigkeit im Fischereisektor
im Rahmen der Umsetzung der Brexit-Anpassungsreserve
1 Förderziel und Zuwendungszweck
1.1 Das Europäische Parlament und der Rat haben am 6. Oktober 2021 die Verordnung (EU) 2021/1755 zur Einrichtung der Reserve für die Anpassung an den Brexit (im Folgenden „BAR-VO“) verabschiedet, um den nachteiligen Folgen des Austritts (Brexit) des Vereinigten Königreiches Großbritannien und Nordirland (VK) aus der Europäischen Union (EU) entgegenzuwirken und die damit verbundenen Auswirkungen abzumildern. In diesem Zusammenhang hat die EU auch die Bedeutung einer nachhaltigen Fischereiwirtschaft im Einklang mit den Zielen der Gemeinsamen Fischereipolitik gemäß der Verordnung (EU) Nr. 1380/2013 des Europäischen Parlaments und des Rates unterstrichen, einschließlich des Grundsatzes des Erreichens des höchstmöglichen Dauerertrags für alle Bestände gemäß den besten verfügbaren wissenschaftlichen Gutachten, sowie der Beendigung der Überfischung, der Wiederherstellung der Populationen der überfischten Arten und des Schutzes der Meeresumwelt, wie es auch in internationalen Verpflichtungen vorgesehen ist.
Artikel 5 Absatz 1 Buchstabe c der BAR-VO sieht ausdrücklich Maßnahmen unter anderem für Unternehmen sowie lokale und regionale Gemeinschaften vor, die von den Fischereiaktivitäten in den Gewässern des VK oder in den Gewässern von Küstenstaaten abhängen, in denen als Folge des Austritts des VK aus der EU die Fangmöglichkeiten verringert wurden. Eine für den Fischereisektor besonders gravierende Folge ist die Reduzierung der deutschen Fangquotenanteile durch das Handels- und Kooperationsabkommen zwischen der EU und der Europäischen Atomgemeinschaft einerseits und dem VK andererseits sowie die sich daraus ergebende geringere Versorgung der deutschen Fischwirtschaft. Ziel der BAR-VO ist neben der Abmilderung der unmittelbaren Brexit-Folgen insbesondere die Anpassung der betroffenen Wirtschaftszweige an die durch den Brexit veränderten Rahmenbedingungen. Die nach dieser Richtlinie zu fördernden Maßnahmen dienen der Umstrukturierung und nachhaltigen Anpassung des Fischereisektors als Teil der von der Fischerei abhängigen lokalen und regionalen Küstengemeinschaften.
1.2 Die Zuwendungen für den Fischereisektor aus den Mitteln der BAR-VO werden nach Maßgabe dieser Richtlinie und unter Berücksichtigung folgender Vorschriften gewährt:
- –
-
der Verordnung (EU) 2021/1755 zur Einrichtung der Reserve für die Anpassung an den Brexit,
- –
-
der im Fischereisektor geltenden staatsbeihilfenrechtlichen Regelungen, insbesondere der Leitlinien der Kommission für die Prüfung staatlicher Beihilfen im Fischerei- und Aquakultursektor, 2015/C 217/01 („Leitlinien“),
- –
-
der Verordnung (EU) Nr. 717/2014 der Kommission vom 27. Juni 2014 über die Anwendung der Artikel 107 und 108 des Vertrages über die Arbeitsweise der Europäischen Union auf De-minimis-Beihilfen im Fischerei- und Aquakultursektor,
- –
-
der Verordnung (EU) Nr. 1388/2014 der Kommission vom 16. Dezember 2014 zur Feststellung der Vereinbarkeit bestimmter Gruppen von Beihilfen zugunsten von in der Erzeugung, Verarbeitung und Vermarktung von Erzeugnissen der Fischerei und der Aquakultur tätigen Unternehmen mit dem Binnenmarkt in Anwendung der Artikel 107 und 108 des Vertrags über die Arbeitsweise der Europäischen Union,
- –
-
§§ 23 und 44 der Bundeshaushaltsordnung (BHO) sowie den zu diesen Regelungen erlassenen Allgemeinen Verwaltungsvorschriften, einschließlich der Allgemeinen Nebenbestimmungen für Zuwendungen zur Projektförderung (ANBest-P).
1.3 Ein Rechtsanspruch des Antragstellers auf Förderung besteht nicht. Vielmehr entscheiden die Bewilligungsbehörden aufgrund ihres pflichtgemäßen Ermessens im Rahmen der verfügbaren Mittel.
2 Gegenstand der Förderung
Diese Richtlinie betrifft die Förderung zuwendungsfähiger Ausgaben für die vorübergehende und die endgültige Einstellung der Fangtätigkeit.
3 Zuwendungsempfänger
Zuwendungsberechtigt sind Unternehmen, unbeschadet der gewählten Rechtsform und Größe, deren Geschäftstätigkeit den Fischereisektor erfasst und die über eine Niederlassung in der Bundesrepublik Deutschland verfügen. Das antragsgegenständliche Fischereifahrzeug muss die deutsche Flagge führen.
4 Allgemeine Zuwendungsvoraussetzungen und Bestimmungen
4.1 Die Zuwendungen können nur im Zeitraum vom 1. Januar 2021 bis zum 31. Dezember 2023 gewährt und beglichen werden. Die Zuwendungen für Maßnahmen zur Förderung der vorübergehenden Einstellung der Fangtätigkeit dürfen nur für solche gewährt werden, die vor dem 31. Dezember 2022 durchgeführt worden sind.
4.2 Die Förderung kann nur für solche Maßnahmen gewährt werden, die mit den allgemeinen Grundsätzen des EU-Beihilfenrechts vereinbar sind. Insbesondere muss die Förderung
- a)
-
im Einklang mit den Zielen der Gemeinsamen Fischereipolitik stehen und zu deren Erreichen beitragen;
- b)
-
erforderlich, geeignet und verhältnismäßig sein;
- c)
-
übermäßige nachteilige Auswirkungen auf Wettbewerb und Handel vermeiden und darf nicht auf ausfuhrbezogene Tätigkeiten ausgerichtet sein;
- d)
-
transparent erfolgen.
4.3 Voraussetzung für jede Zuwendung nach dieser Richtlinie ist die Kausalität der negativen Folgen des Brexit für die Erforderlichkeit der zu fördernden Maßnahme. Negative Folgen des Brexit sind insbesondere:
- a)
-
die Reduzierung der deutschen Fangquotenanteile aufgrund des Handels- und Kooperationsabkommens zwischen der EU und dem Vereinigten Königreich Großbritannien und Nordirland (HKA),
- b)
-
die fehlende Möglichkeit zum Tausch von Fangquoten mit dem VK,
- c)
-
der fehlende Zugang zu bzw. die Einschränkung von Fangrechten in Gewässern von Drittstaaten aufgrund des HKA.
4.4 Zuwendungen nach dieser Richtlinie sollen den Zuwendungsempfängern nur die Anpassung an die unmittelbaren Folgen des Brexit ermöglichen und dessen negative Folgen abfedern. Eine Überkompensation ist unzulässig.
4.5 Die Bagatellgrenze für die zuwendungsfähigen Ausgaben je Förderantrag wird auf 10 000 Euro netto festgesetzt. Dies gilt nicht für die vorübergehende Einstellung der Fangtätigkeit von Fischereifahrzeugen mit einer Bruttoraumzahl (BRZ) unter 1 500 gemäß Nummer 6.2.1.2 dieser Richtlinie.
4.6 Eine Kumulierung mit anderen staatlichen Beihilfen und sonstigen öffentlichen Fördergeldern für dieselben, sich teilweise oder vollständig überschneidenden beihilfefähigen Ausgaben ist ausgeschlossen.
4.7 Ein Antrag auf Zuwendung ist unzulässig, wenn die zuständige Behörde gemäß Artikel 10 Absatz 1 der Verordnung (EU) Nr. 508/2014 festgestellt hat, dass der betreffende Wirtschaftsbeteiligte einen oder mehrere der in Artikel 10 Absatz 1 derselben Verordnung genannten Verstöße oder Vergehen oder einen Betrug gemäß Artikel 10 Absatz 3 dieser Verordnung begangen hat. Es gilt die in den gemäß Artikel 10 Absatz 4 der Verordnung erlassenen delegierten Rechtsakte festgelegte Dauer der Unzulässigkeit. Gleiches gilt, wenn die Behörde entsprechende Feststellungen gemäß Artikel 11 der Verordnung (EU) 2021/1139 getroffen hat.
4.8 Von der Förderung ausgeschlossen sind
- a)
-
Antragsteller, bei denen die Kapitalbeteiligung der öffentlichen Hand mehr als 25 % des Eigenkapitals des Unternehmens beträgt,
- b)
-
Antragsteller, die einer Rückforderungsanordnung aufgrund einer früheren Kommissionsentscheidung zur Feststellung der Unzulässigkeit einer Beihilfe und ihrer Unvereinbarkeit mit dem Binnenmarkt in den letzten fünf Jahren vor Antragstellung nicht Folge geleistet haben,
- c)
-
Antragsteller in Schwierigkeiten im Sinne der Leitlinien für staatliche Beihilfen zur Rettung und Umstrukturierung nichtfinanzieller Unternehmen in Schwierigkeiten, es sei denn, die Schwierigkeiten sind auf den Brexit und die daraus resultierenden Folgen zurückzuführen,
- d)
-
Antragsteller, über deren Vermögen ein Insolvenzverfahren beantragt oder eröffnet worden ist sowie
- e)
-
Antragsteller, die zur Abgabe der Vermögensauskunft nach § 802c der Zivilprozessordnung oder § 284 der Abgabenordnung verpflichtet sind oder bei denen diese abgenommen wurde. Dies gilt auch, sofern den gesetzlichen Vertreter einer juristischen Person die entsprechenden Verpflichtungen aus § 802c der Zivilprozessordnung oder § 284 der Abgabenordnung treffen.
4.9 Mit der Antragstellung ist eine Erklärung abzugeben, dass keiner der in den Nummern 4.6 bis 4.8 dieser Richtlinie genannten Ausschlussgründe vorliegt.
4.10 Der Zuwendungsempfänger muss ab dem Zeitpunkt der Antragstellung die Vorschriften der Gemeinsamen Fischereipolitik über einen Zeitraum von fünf Jahren nach der Abschlusszahlung wahren. Begeht der Zuwendungsempfänger innerhalb des Zeitraumes, der mit der Einreichung des Antrags auf Unterstützung beginnt und fünf Jahre nach Vornahme der letzten Zahlung endet, schwere Verstöße gemäß Artikel 42 der Verordnung (EG) Nr. 1005/2008 oder Artikel 90 Absatz 1 der Verordnung (EG) Nr. 1224/2009, so dass ihm mindestens 9 Punkte in dem Punktesystem gemäß Artikel 92 der Verordnung (EG) Nr. 1224/2009 in Verbindung mit Artikel 126 und Anhang XXX der Verordnung (EU) 404/2011 zugewiesen wurden, so hat der Zuwendungsempfänger die Zuwendung in voller Höhe zurückzuzahlen.
4.11 Bei jeder Zuwendung werden die Informationen gemäß Ziffer 69 c) der Leitlinien für die Prüfung staatlicher Beihilfen im Fischerei- und Aquakultursektor auf einer Beihilfe-Webseite veröffentlicht
(https://www.portal-fischerei.de/bund/brexit-anpassungsreserve). Soweit zu diesem Zweck erforderlich, sind die Bewilligungsbehörden zur Verarbeitung und Veröffentlichung der diesbezüglichen personenbezogenen Daten des Zuwendungsempfängers berechtigt.
5 Besondere Zuwendungsvoraussetzungen
5.1 Vorübergehende Einstellung der Fangtätigkeit von Fischereifahrzeugen
5.1.1 Bei einem Fischereifahrzeug das unmittelbar von der durch das HKA-bedingten Reduzierung der deutschen Fangquotenanteile oder zeitweise von der Unmöglichkeit des Tausches von europäischen Fangquoten mit dem VK betroffen ist oder aufgrund des Brexit zeitweise keinen Zugang zu Gewässern eines Drittstaates hat oder in seinen Fangrechten in Gewässern von Drittstaaten erheblich beeinträchtigt ist, kann die vorübergehende Einstellung der Fangtätigkeit gefördert werden, wenn
- a)
-
die minimale Fangtätigkeit des Fahrzeuges oder der Fahrzeuge, die durch das antragstellende Fahrzeug ersetzt wurden, in den zwei Kalenderjahren vor dem Tag der Stellung des Antrages auf Zuwendung oder in den Jahren 2018 und 2019 insgesamt wenigstens 120 Tage auf See betrug,
- b)
-
die Fangtätigkeit des Fischereifahrzeuges für den festgesetzten Zeitraum tatsächlich eingestellt ist, weil das Fahrzeug im Hafen liegt. Die Liegezeit ist durch Daten des satellitengestützten Schiffsüberwachungssystems gemäß Artikel 9 der Verordnung (EG) Nr. 1224/2009 oder Daten des elektronischen Logbuches gemäße Artikel 15 derselben Verordnung darzulegen, oder in anderer geeigneter Weise nachzuweisen,
- c)
-
die Einstellung der Fangtätigkeit eine Folge des Brexit ist und das Fischereifahrzeug nicht wegen Reparaturmaßnahmen einschließlich garantiebedingter Werftliegezeiten oder sonstiger Umstände nicht zum Zwecke der Fischerei einsetzbar gewesen ist; hiervon ausgenommen ist eine vorübergehende Stilllegung zum Zwecke der Durchführung von Investitionsmaßnahmen auf Fischereifahrzeugen, die auf der Grundlage der BAR-VO erfolgen, vorbehaltlich der Genehmigung der Förderrichtlinie zu diesen Investitionsmaßnahmen durch die EU-Kommission, und
- d)
-
für den Zeitraum der Einstellung der Fangtätigkeit keine Liquiditätshilfen gemäß der Richtlinie zur Förderung von Liquiditätshilfen für Fischereiunternehmen im Rahmen der Umsetzung der Brexit-Anpassungsreserve vom 29. Juli 2021 (BAnz AT 13.08.2021 B1) erfolgt sind.
5.1.2 Unternehmen, die eine Zuwendung nach dieser Richtlinie erhalten, dürfen das nach Nummer 5.1 geförderte Schiff innerhalb von mindestens fünf Jahren nach der Abschlusszahlung für das unterstützte Vorhaben nicht in ein Land außerhalb der Union transferiert oder umgeflaggt werden.
5.1.3 Das Fischereifahrzeug kann im Zeitraum vom 1. Januar 2021 bis 31. Dezember 2022 stillgelegt werden. Eine mehrmalige vorübergehende Einstellung der Fangtätigkeit ist zulässig, wobei die Einstellung der Fangtätigkeit jeweils für mindestens zehn aufeinanderfolgende Tage erfolgen muss und höchstens sechs Monate andauern darf.
5.1.4 Der Zuwendungsempfänger hat mit dem Antrag auf Förderung einen Geschäftsplan einzureichen. Der Geschäftsplan muss Angaben enthalten über
- a)
-
die wirtschaftliche Lage des Unternehmens vor dem HKA unter Berücksichtigung der Umsätze in den Jahren 2018 und 2019,
- b)
-
die Änderung der unternehmensbezogenen Fangquotenausstattung durch das HKA,
- c)
-
die gegenwärtige wirtschaftliche Lage unter Darlegung der Umsatzentwicklung und, soweit betroffen, unter Berücksichtigung der Unsicherheiten aufgrund der Verhandlungen zwischen der EU mit Norwegen und dem VK nach dem 1. Januar 2021,
- d)
-
die Kausalität der Auswirkungen des Brexit auf die gegenwärtige wirtschaftliche Lage des Unternehmens,
- e)
-
Darlegungen, inwiefern die dem Antrag zugrundeliegende Anzahl der Stillliegetage für die Anpassung des Unternehmens an die Folgen des Brexit erforderlich ist und welche Maßnahmen der Zuwendungsempfänger zusätzlich ergreift,
- f)
-
bei Fischereifahrzeugen mit einer BRZ von 1 500 und mehr Angaben und Belege über die für das Fischereifahrzeug tatsächlich angefallenen oder zu erwartenden Ausgaben während der Stillliegezeit.
5.1.5 Die Angaben im Geschäftsplan sind durch geeignete Nachweise zu belegen. Die Nachweise sind den Bewilligungsbehörden bei Antragstellung vorzulegen.
5.2 Endgültige Einstellung der Fangtätigkeit von Fischereifahrzeugen
5.2.1 Gefördert werden kann die endgültige Einstellung der Fangtätigkeit von Fischereifahrzeugen, die unmittelbar von der durch den Brexit bedingten Reduzierung der deutschen Fangquotenanteile betroffen sind, wenn
- a)
-
das Fischereifahrzeug als aktiv registriert ist,
- b)
-
die minimale Fangtätigkeit des Fahrzeuges in den zwei Kalenderjahren vor dem Tag der Stellung des Antrages auf Zuwendung oder in den Jahren 2018 und 2019 wenigstens 90 Tage pro Jahr auf See betrug,
- c)
-
die endgültige Einstellung der Fangtätigkeit des Fischereifahrzeuges durch Abwrackung erfolgt,
- d)
-
mit der Abwrackung die entsprechenden Fischereilizenzen und Genehmigungen dauerhaft zurückgegeben werden und das Fischereifahrzeug aus der nationalen und europäischen Flottenregister dauerhaft gestrichen wird,
- e)
-
der Begünstigte im Zeitraum von fünf Jahren nach Auszahlung der Zuwendung kein neues Fischereifahrzeug im deutschen Flottenregister registriert, es sei denn, die Investitionsentscheidung über dieses Fahrzeug wurde nachweislich bereits vor dem 1. Januar 2021 getroffen,
- f)
-
der Begünstigte versichert, seit dem 1. Januar 2021 keine Entscheidung über den Kauf eines neuen Schiffes unter deutscher Flagge getroffen zu haben, und
- g)
-
der Begünstigte seine aktive Fangkapazität während eines Zeitraums von fünf Jahren nach Erhalt der Beihilfe nicht erhöht.
5.2.2 Im Falle einer Abwrackung hat der Zuwendungsempfänger durch eine staatlich anerkannte Klassifikationsgesellschaft oder einen durch die Bewilligungsbehörden als geeignet anerkannten Dritten ein Wertgutachten über die Feststellung des gegenwärtigen Verkaufspreises oder auf der Grundlage alternativer Bemessungsgrundlagen des Wertes des Fischereifahrzeuges erstellen zu lassen.
5.2.3 Die Abwrackung hat im Einklang mit den Bestimmungen der Verordnung (EU) Nr. 1257/2013 zu erfolgen.
5.2.4 Das Fischereifahrzeug ist im funktionsfähigen Zustand an den mit der Abwrackung beauftragten Dritten zu übergeben.
6 Art und Umfang, Höhe der Zuwendung
6.1 Die Zuwendung erfolgt als Projektförderung in Form von nicht rückzahlbaren Zuschüssen im Wege der Voll- oder Anteilsfinanzierung.
6.2 Vorübergehende Einstellung der Fangtätigkeit von Fischereifahrzeugen
6.2.1 Der Zuwendungsbetrag entspricht den im Zusammenhang mit dem Fischereifahrzeug anfallenden Ausgaben während der Stillliegezeit.
6.2.1.1 Für Fischereifahrzeuge mit einer BRZ von 1 500 und mehr sind die für das Fischereifahrzeug tatsächlich anfallenden notwendigen Ausgaben während der Stillliegezeit zugrunde zu legen. Die tatsächlich anfallenden Ausgaben beinhalten insbesondere tatsächlich anfallende Personalkosten, Versicherungen, die trotz Aufenthalt im Hafen anfallen, Hafengebühren, fixe Kosten und Abschreibungen sowie tatsächlich anfallende variable Kosten.
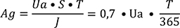
6.2.1.2 Für Fischereifahrzeuge mit einer BRZ unter 1 500 bemisst sich der Zuwendungsbetrag nach den geschätzten Ausgaben während der Stillliegezeit (Ag). Nummer 4.5 dieser Richtlinie findet keine Anwendung. Die Berechnung erfolgt nach der Formel:

| Ua | Jahresumsatz des Fischereifahrzeuges (Erlös aus dem Verkauf der Fänge) aus dem Durchschnitt der Umsätze in den Jahren 2018 und 2019. Wenn in dieser Zeit das Fahrzeug durch einen Neubau oder anderes Fahrzeug ersetzt wurde, tritt dieses Fahrzeug insoweit an die Stelle des alten Fahrzeugs. |
| S | Abzuziehender Satz für ersparte Aufwendungen während der Einstellung der Fangtätigkeit; von dem Jahresumsatz sind zuwendungsfähig geschätzte Fixkosten von 30 % und geschätzte Lohnkosten von 40 %: 0,30 + 0,40 = 0,70. |
| T | Anzahl der beantragten Tage der Einstellung der Fangtätigkeit des Fischereifahrzeuges. |
| J | Anzahl der Tage im Referenzzeitraum von einem Jahr, das heißt: 365. |
6.3 Endgültige Einstellung der Fangtätigkeit von Fischereifahrzeugen
6.3.1 Die Zuwendung für die endgültige Einstellung der Fangtätigkeit von Fischereifahrzeugen beinhaltet für die Kompensation des Wertverlustes 100 % des Verkaufspreises des Fischereifahrzeuges oder des festgestellten Wertes auf Grundlage des Wertgutachtens sowie die Kosten der Erstellung des Wertgutachtens.
6.3.2 Hat der Zuwendungsempfänger für dasselbe Fischereifahrzeug bereits Zuwendungen nach Nummer 5.1 dieser Richtlinie erhalten, so sind diese von dem Zuwendungsbetrag für die endgültige Einstellung der Fangtätigkeit abzuziehen. Ebenfalls in Abzug zu bringen sind Liquiditätshilfen an das begünstigte Unternehmen, die gemäß der Richtlinie zur Förderung von Liquiditätshilfen für Fischereiunternehmen im Rahmen der Umsetzung der Brexit-Anpassungsreserve vom 29. Juli.2021 (BAnz AT 13.08.2021 B1) erfolgt sind.
6.3.3 Die Auszahlung des Zuwendungsbetrages darf erst erfolgen, nachdem die betreffenden Kapazitäten endgültig aus dem Flottenregister der EU gestrichen und die Fischereilizenzen und Fanggenehmigungen endgültig entzogen worden sind.
7 Sonstige Bestimmungen
7.1 Prüfrechte
Die Bewilligungsbehörden sowie die gemäß Artikel 14 Absatz 1 Buchstabe a BAR-VO benannte Prüfstelle sind berechtigt, die zweckentsprechende Verwendung der Zuwendung durch Einsicht in alle Bücher, Originalbelege und sonstige Unterlagen, die mit der Zuwendung in Zusammenhang stehen, sowie durch Vor-Ort-Kontrollen zu prüfen.
Des Weiteren sind das Bundesministerium für Ernährung und Landwirtschaft, das Bundesministerium für Wirtschaft und Klimaschutz, der Bundesrechnungshof, die Europäische Kommission einschließlich des Europäischen Amts für Betrugsbekämpfung, der Europäische Rechnungshof, die jeweils von diesen beauftragten Dritten und – im Falle der Verordnung (EU) 2017/19391 – die Europäische Staatsanwaltschaft (EUStA) uneingeschränkt prüfberechtigt.
Dieses Prüfungsrecht ist, soweit sich dieses aus den Artikeln 285 bis 287 des Vertrags über die Arbeitsweise der Europäischen Union für die Prüfungseinrichtungen der Europäischen Union und aus § 91 BHO für den BRH nicht unmittelbar ergibt, gegenüber den Beteiligten festzulegen.
7.2 Mitwirkungspflichten des Zuwendungsempfängers
Die Zuwendungsempfänger sind verpflichtet, den Bewilligungsbehörden sämtliche für die Bewilligung, Auszahlung und Abrechnung der Zuwendung sowie für den Nachweis und die Prüfung der Verwendung und die ggf. erforderliche Aufhebung des Zuwendungsbescheids und die Rückforderung der gewährten Zuwendung erforderlichen Daten und Informationen zur Verfügung zu stellen.
Dies gilt auch für Informationen, die die EU-Kommission zur Bewertung und Berichterstattung zur Wirksamkeit, Effizienz, Relevanz, Kohärenz und Unionsmehrwert der Reserve benötigt.
Die Belege (insbesondere Antrag, Förderbescheide, Verwendungsnachweise, Originalbelege, Abschlussberichte) sind durch den Zuwendungsempfänger zu Prüfzwecken im Original oder als beglaubigte Kopie mindestens fünf Jahre (gerechnet ab dem 31. Dezember des Jahres, in dem der letzte Verwendungsnachweis vorgelegt wurde) aufzubewahren, sofern nicht aus steuerlichen, nationalen oder anderen EU-rechtlichen Vorschriften eine längere Aufbewahrungsfrist bestimmt ist.
7.3 Subventionserhebliche Tatsachen; Erklärung
Für die Zuwendungsempfänger stellt der Zuschuss nach diesen Richtlinien eine Subvention im Sinne von § 264 des Strafgesetzbuches (StGB) dar.
Die subventionserheblichen Tatsachen im Sinne von § 264 StGB in Verbindung mit § 2 des Subventionsgesetzes sind im Zuschussantrag detailliert bezeichnet. Alle auch nach Antragstellung eintretenden und diese subventionserheblichen Tatsachen betreffenden Änderungen sind unverzüglich den Bewilligungsbehörden mitzuteilen.
7.4 Datenschutz, Datenschutzerklärung
Die Zuwendungsempfänger erklären sich damit einverstanden, dass die erforderlichen Daten zur Sicherstellung und der Recht- und Ordnungsmäßigkeit der Ausgaben und zur Verhütung sowie zur Aufdeckung von Betrug gemäß Artikel 14 Absatz 1 Buchstabe f BAR-VO von den Bewilligungsbehörden erfasst werden. Diese Daten umfassen teilweise persönliche Daten zur Person, zum Unternehmen und zu allen wirtschaftlichen Eigentümern. Die Einverständniserklärung erfolgt mit der Antragstellung.
8 Verfahren
8.1 Länder
Für die Umsetzung dieser Förderrichtlinie sind die Länder Mecklenburg-Vorpommern und Niedersachsen zuständig. Die Zuwendungsempfänger richten den Zuwendungsantrag an die vom jeweilig zuständigen Landesministerium festgelegten Bewilligungsbehörden.
8.2 Die für die Fördermaßnahme jeweils zuständigen Landesbehörden werden im Internet veröffentlicht unter: https://www.portal-fischerei.de/bund/foerderrichtlinie-nach-bar-vo.
8.3 Antragsverfahren
Zuwendungsanträge sind schriftlich unter Verwendung der offiziellen Vordrucke bei den Bewilligungsbehörden zu stellen.
8.4 Dem Antrag sind insbesondere folgende Unterlagen beizufügen:
- a)
-
geeignete Nachweise über die Erfüllung der allgemeinen Zuwendungsvoraussetzungen nach Nummer 4.3 sowie der zutreffenden besonderen Zuwendungsvoraussetzungen nach Nummer 5.1 oder Nummer 5.2,
- b)
-
bei Vorhaben der vorübergehenden Einstellung der Fangtätigkeit die Abgabe der Erklärung nach Nummer 4.9,
- c)
-
Nachweis der Eigentumsverhältnisse und gegebenenfalls der Vertretungsbefugnisse.
8.5 Die Bewilligungsbehörden können die Vorlage weiterer Unterlagen fordern.
8.6 Die Länder regeln das Bewilligungsverfahren und bestimmen die für die Durchführung dieses Verfahrens zuständigen Stellen.
8.7 Für die Bewilligung, Auszahlung und Abrechnung der Zuwendung sowie für den Nachweis und die Prüfung der Verwendung und die gegebenenfalls erforderliche Aufhebung des Zuwendungsbescheids und die Rückforderung der gewährten Zuwendung gelten die §§ 23 und 44 BHO, die hierzu erlassenen Allgemeinen Verwaltungsvorschriften sowie die §§ 48 bis 49a des Verwaltungsverfahrensgesetzes sowie die jeweils einschlägigen Bestimmungen des Landeshaushaltsrechts. Bestandteil des Zuwendungsbescheids sind die Allgemeinen Nebenbestimmungen für Zuwendungen zur Projektförderung (ANBest-P).
8.8 Die Rechtsgrundlagen sowie Informationen und etwaige Hinweise können unter
https://www.portal-fischerei.de/bund/foerderrichtlinie-nach-bar-vo abgerufen werden. Soweit sich Änderungen zum Verfahren ergeben, wird dies in geeigneter Weise bekannt gegeben.
Diese Richtlinie tritt am Tag nach der Bekanntmachung im Bundesanzeiger in Kraft.
Bundesministerium
für Ernährung und Landwirtschaft
Im Auftrag
Dr. Pott
- 1
- Verordnung (EU) 2017/1939 des Rates vom 12. Oktober 2017 zur Durchführung einer Verstärkten Zusammenarbeit zur Errichtung der Europäischen Staatsanwaltschaft (EUStA) (ABl. L 283 vom 31.10.2017, S. 1).
Kommentar hinterlassen